Abstract
-
Purpose
This study investigated the influence of organizational justice on junior nursing officers’ intent to stay in their positions and explored the mediating roles of job satisfaction and organizational commitment.
-
Methods
A descriptive correlational design was employed, and data were analyzed using SPSS 29.0 software. Statistical analyses included descriptive statistics, the t-test, one-way analysis of variance, Pearson’s correlation coefficients, and multiple linear regression. The mediating effects of job satisfaction and organizational commitment were evaluated following Baron and Kenny’s three-step mediation procedure, and significance was confirmed through the bootstrapping method.
-
Results
Organizational justice, job satisfaction, organizational commitment, and intent to stay were all significantly positively correlated. The mediating effects of job satisfaction and organizational commitment on the relationship between organizational justice and intent to stay were confirmed.
-
Conclusion
Based on the findings of this study, job satisfaction and organizational commitment were found to fully mediate the relationship between organizational justice and intent to stay. Therefore, to enhance the intent to stay among junior nursing officers, it is considered necessary to develop supportive measures and establish systems within the military and nursing corps that strengthen organizational justice for junior nursing officers.
-
주요어: 간호장교, 조직공정성, 재직 의도, 직무만족, 조직몰입
-
Key Words: Nursing officer; Organizational justice; Intent to stay; Job satisfaction; Organizational commitment
서론
1. 연구의 필요성
군 의료인력 중 핵심 의료인력인 간호장교는 군 장병 건강 보호와 증진을 임무로 하는 간호 전문인력으로 투철한 국가관을 지닌 장교이자 인간 존중을 실천하는 간호사다[
1]. 간호장교는 신규 인력 확보가 민간 병원에 근무하는 간호사에 비해 오랜 시간이 소요되나 의무 복무 기간을 마치고 전역을 하는 특수한 근무 조건[
2]으로 인력 소실이 발생한다. 의무 복무 기간만을 마치고 전역하는 인원이 많아지게 되면 숙련된 간호장교의 상실 및 신규 간호장교 모집에 있어 어려움이 발생하기 때문에 간호장교의 재직 의도를 파악하고 간호장교 자발적으로 복무 기간을 늘리도록 유도하여[
2] 장기 복무 인원을 확보하는 것이 필요하다. 장기 복무는 임관 2, 3년차 대상으로 우선적으로 선발하고 있어 이 연차에 해당하는 초급 간호장교의 재직 의도를 파악하고 이를 강화하는 요인을 찾고 복무 기간을 연장시켜 숙련된 군 간호 인력을 확보하고 군 조직의 효율성 증가가 필요한 실정이다.
간호사의 재직 의도란 간호사가 새로운 직업 탐색을 멈추거나 현재 직무에서 머무르고자 하는 의도이다[
3]. 재직 의도를 확인하는 것은 간호사의 재직을 높이는 실제적이고 효율적인 접근방법을 제시하기 때문에 결과적으로 조직의 유효성을 증가시킬 수 있다[
4]. 국내 간호사의 재직 의도에 영향을 미치는 요인으로는 경력 및 연령, 조직공정성, 직무만족 및 조직몰입, 자율성, 소명의식, 자기효능감 및 셀프리더십[
5] 등이 규명되었다. 이 중 조직공정성은 구성원이 조직 내에서 자신이 기여한 노력에 비해 받는 보상, 의사결정 절차의 공정성, 그리고 다른 사람과의 상호작용이 공정하다고 인식하는 정도를 말한다[
6]. 조직공정성은 이직이나 재직을 결정하고 직무만족에 영향을 주는 주요 원인 중 하나로 보고 있으며[
7], 연차가 적은 간호사를 오래 보유하기 위해서는 조직공정성이 이직 의도에 미치는 영향을 살피고[
8] 이를 바탕으로 재직 의도를 높이는 것이 필요하다. 조직공정성이 간호사 및 다양한 직업의 재직 의도에 미치는 영향을 분석한 연구는 활발하나 군 조직을 대상으로 조직공정성을 파악한 연구는 부족한 실정이다. 특히 간호장교는 간호사와 군인의 역할을 동시에 수행하고 있는 특수한 환경이나 간호장교의 조직공정성이 재직 의도에 미치는 영향을 분석한 연구는 부족하다. 따라서 초급 간호장교의 조직공정성 정도를 확인하고 재직 의도와의 관계를 확인할 필요가 있다.
직무만족이란 개인이 직무를 평가하거나 직무를 통해 얻는 경험을 평가함으로써 얻는 긍정적인 감정 상태를 일컫는다[
9]. 간호장교의 직무만족에 영향을 미치는 요인으로는 직위, 근무 경력, 직무스트레스 등이 확인되었다[
10]. 또한 군 내부 구성원의 직무만족이 높을 때 상, 하급자 간의 원활한 의사소통이 형성 및 부대 사기 증진으로 부대 단결과 임무 수행에 긍정적인 영향을 주는 것으로 나타났다[
11]. 직무만족과 더불어 재직 의도에 영향을 주는 변수로는 조직몰입이 있다[
12].
조직몰입이란 조직의 비전과 목표를 바탕으로 조직에 애착과 소속감 및 충성심을 가지고 조직에 기꺼이 헌신하려는 태도를 말한다[
13]. 조직몰입은 직무 특성, 개인 특성, 경험 등의 다양한 원인에 의해 영향을 받으므로 간호사 보유에 있어 직무만족도보다 더 강력한 예측 인자가 될 수 있으며[
14], 조직구성원의 재직 의도를 예측할 수 있는 요인으로 활용되고 있다[
15]. 구성원이 조직에 몰입될 때 동기부여가 되며 직무수행에 있어 긍정적인 변화를 가져와 직무성과를 높이고 이는 근속연수 증가 및 이직률 감소에 영향을 주기 때문에[
16] 간호사의 조직몰입을 확인하는 것은 재직 의도를 높이는 데 있어 중요하다.
선행 연구를 바탕으로 조직공정성, 직무만족 및 조직몰입은 간호사 및 군인의 재직 의도에 영향을 미치며, 조직공정성은 직무만족 및 조직몰입을 높여주는 중요한 변수인 것으로 확인되었다. 또한 간호사의 재직 의도를 파악하는 것은 유능한 간호인력 확보에 있어 중요함을 알 수 있다. 해당 연구 주제에 대한 기존 연구는 일반 간호사나 민간 조직을 중심으로 이루어진 경우가 많아 군 내 초급 간호장교를 대상으로 한 연구는 부족한 실정이다. 또한 조직공정성은 재직 의도를 높이는 변수로 작용하고 조직공정성과 직무만족 및 조직몰입에도 상호 연관성이 있음을 알 수 있다. 이러한 선행연구에서의 변수들 간의 관계를 종합하면 조직공정성과 재직 의도 간의 관계에서 직무만족 및 조직몰입이 매개할 수 있음을 추론할 수 있다. 즉, 조직공정성은 직무만족 및 조직몰입을 높이고 직무만족과 조직몰입 또한 재직 의도를 향상시키는 변수로 작용하므로 직무만족 및 조직몰입은 조직공정성과 재직 의도 간의 관계에서 매개효과가 있을 것이라고 예측할 수 있다.
따라서 본 연구를 통해 초급 간호장교의 조직공정성, 직무만족 및 조직몰입이 재직 의도에 미치는 영향을 확인하고 조직공정성과 재직 의도와의 관계에서 직무만족과 조직몰입의 매개효과를 확인하여 초급 간호장교 확보에 필요한 기초 자료를 마련하고자 한다.
2. 연구의 목적
본 연구의 목적은 초급 간호장교의 조직공정성 및 재직 의도를 확인하고 직무만족과 조직몰입의 매개효과를 확인하여 초급 간호장교의 재직 의도 향상을 위한 환경 조성 및 효율적인 군 간호인력 확보를 위한 것으로 구체적인 연구의 목적은 아래와 같다.
• 대상자의 일반적 특성, 조직공정성, 직무만족, 조직몰입, 재직 의도 정도를 파악한다.
• 대상자의 일반적 특성 및 임관 연차에 따른 조직공정성, 직무만족, 조직몰입, 재직 의도 차이를 분석한다.
• 대상자의 조직공정성, 직무만족 및 조직몰입, 재직 의도의 상관관계를 분석한다.
• 대상자의 조직공정성, 직무만족 및 조직몰입이 재직 의도에 미치는 영향을 분석한다.
• 대상자의 조직공정성과 재직 의도의 관계에서 직무만족과 조직몰입의 매개효과를 분석한다.
연구방법
1. 연구 설계
본 연구는 초급 간호장교의 조직공정성이 재직 의도에 미치는 영향과 직무만족 및 조직몰입의 매개효과를 검정하여 초급 간호장교의 재직 의도를 향상하는데 필요한 기초자료를 제공하기 위해 시행된 설명적 조사 연구이다.
2. 연구 대상
본 연구 대상자는 군부대에서 근무하는 육군 초급 간호장교를 대상으로 편의표집 하였다. 구체적인 대상자 선정 기준은 군부대에서 근무하는 근무 경력 6개월 이상의 임관 1년차부터 임관 3년차의 육군 간호장교이며 제외 기준은 설문지 상 현 복무 상태를 장기 복무 및 복무 연장으로 응답한 대상자이다. 표본 크기 산출은 G*Power program 3.1.9.7 (Heinrich-Heine-Universität Düsseldorf)을 사용하였으며, 효과크기 .15 [
4], 유의수준 .05, 검정력 .80 수준으로 설정하고 독립변수 14개로 다중회귀분석에 필요한 표본 수를 확인하였을 때 최소한으로 필요한 표본은 135명이었다. 본 연구에서는 탈락률 20%를 고려하여 총 170명을 대상으로 자료 수집을 시행하였다. 설문지는 총 170부 수집되었으며 누락된 응답이 있는 7부와 주요한 변수에 대한 응답을 불성실하게 대답한 설문지 9부(예: 같은 응답을 일렬로 선택한 경우, 일 평균 근무 시간을 묻는 질문에 40, 45 등으로 응답한 경우 등)와 현 복무 상태를 복무 연장 및 장기 복무로 응답한 대상자를 제외하였다. 최종 연구 자료로 137부(80.6%)를 최종 분석하였다.
3. 연구 도구
본 연구의 자료 수집을 위하여 일반적 특성인 성별, 연령, 최종학력, 결혼 유무의 4개 항목과 근무 특성의 근무 부서, 총 근무 경력, 근무 형태, 일 평균 근무시간, 현 복무 상태, 장기 복무 및 복무 연장 희망 여부 6개 항목으로 총 10개 문항으로 구성하여 응답을 수집하였다. 문항 중 장기 복무 및 복무 연장 희망 여부는 현 복무 상태에서 단기 복무 및 복무 연장을 선택한 대상자들만 선택하도록 하였다. 또한 사용한 연구 도구는 원 저자의 사전 승인을 얻은 후 사용하였다.
1) 조직공정성
조직공정성 측정은 Niehoff와 Moorman [
6]이 개발한 Justice scale을 Jung과 Choi [
17]가 한국어로 번안한 도구를 사용하였다. 세 개 하위영역인 분배공정성 5개 항목, 절차공정성 6개 항목, 상호작용공정성 9개 항목으로 총 20개 항목으로 이루어져 있다. 문항은 Likert 5점 척도로 구성되며 5점 ‘매우 그렇다’부터 1점 ‘전혀 그렇지 않다’로 이루어져 있다. 점수가 높게 측정될수록 개인이 지각한 조직공정성 정도가 높음을 의미한다. 개발 당시 Cronbach’s α 값은 .70, Jung과 Choi [
17]의 연구에서는 .96, 본 연구에서는 .95으로 확인되었다.
2) 직무만족
직무만족 측정은 Weiss 등[
18]이 개발한 Minnesota Satisfaction Questionnaire 도구를 군의 상황에 맞게 Park [
19]이 수정한 도구를 이용하였다. 총 20개 항목으로 이루어져 있고 각 문항은 Likert 5점 척도로 구성되며 5점 ‘매우 만족’부터 1점 ‘매우 불만족’으로 응답하도록 되어있다. 각 하위 영역별 평균 점수가 높게 측정될수록 직무만족이 높음을 의미한다. Park [
19]의 연구의 Cronbach’s α 값은 .91, 본 연구에서는 .90로 확인되었다.
3) 조직몰입
조직몰입 측정은 Meyer와 Allen [
20]의 개념을 토대로 개발한 조직몰입도 도구를 Kim [
21]이 직업 군인의 상황에 맞게 재구성한 도구를 사용하였다. 세 개의 하위요인인 정서적 몰입의 4개 항목, 근속적 몰입의 3개 항목, 규범적 몰입의 3개 항목으로 총 10개 항목이며 각 문항은 Likert 5점척도로 측정하게 되어있다. 5점 ‘매우 그렇다’부터 1점 ‘전혀 그렇지 않다’로 점수가 높게 측정될수록 조직몰입 수준이 높음을 의미한다. Kim [
21]의 연구의 Cronbach’s α 값은 .74, 본 연구의 Cronbach’s α 값은 .83으로 측정되었다.
4) 재직 의도
재직 의도 측정은 Cowin [
22]의 Nurses’ Retention Index를 Kim [
23]이 국문화하고 본 연구에 맞게 수정한 도구로 측정하였다. Likert 8점 척도로 구성된 6개 항목이며 8점 ‘매우 그렇다’의부터 1점 ‘매우 그렇지 않다’로 점수가 높게 측정될수록 간호사의 재직 의도가 높음을 의미한다. 문항 중 3번 문항의 ‘나는 머지 않아 간호장교를 그만 둘 계획이다’와 6번 문항의 ‘나는 간호장교 이외에 다른 직업을 찾고 싶다’는 역코딩하여 점수를 환산하였다. 개발 당시 Cronbach’s α 값은 .97, Kim [
23]의 연구에서 .88, 본 연구에서는 .93으로 확인되었다.
4. 자료 수집 방법
본 연구의 자료는 국군의무사령부 의학연구윤리심의위원회의 승인을 받은 후에 2024년 10월 7일부터 2024년 10월 20일까지 수집하였다. 연구자의 소속 기관의 보안성 검토 시행 후 미리 협조를 구하고 연구에 대한 설명문 및 모집 공고문, 전자 설문지 링크 및 QR 코드를 포함한 공문을 내부 전산망으로 배포하였다. 모집 공고문에 기재된 설문지 링크 및 QR 코드를 통하여 설문 전 연구의 설명문과 동의서를 읽고 자발적으로 동의한 대상자에게 연구 시작 전 전자 설문지로 연구의 목적과 방법, 결과 활용, 연구의 의의, 연구 참여시 위험과 이익, 연구 참여의 자발성, 참여 중단에 대한 불이익 없음, 동의 철회, 자료 보관 방법 및 보관 기간 등에 대하여 설명을 진행하고 설문조사를 진행하였다. 설문을 완료하는데 예상 소요 시간은 약 20분이며 설문을 완료한 대상자에게 소정의 답례를 제공하였다.
5. 자료 분석 방법
자료분석은 IBM SPSS statistics 29.0 프로그램(IBM Corp.)으로 분석하였다. 대상자의 일반적 특성은 빈도, 백분율, 평균 및 표준편차로 분석하였고, 조직공정성, 직무만족, 조직몰입, 재직 의도는 평균 및 표준편차로 분석하였다. 대상자의 일반적 특성에 따른 조직공정성, 직무만족, 조직몰입, 재직 의도의 차이를 확인하기 위해 t-test 혹은 one-way analysis of variance로 분석하였고, 사후 검정은 Scheffé 검정을 시행하였다. 조직공정성, 직무만족, 조직몰입, 재직 의도 간 상관관계는 Pearson’s correlation coefficient로 분석하였다. 대상자의 조직공정성, 직무만족 및 조직몰입이 재직 의도에 미치는 영향을 분석하기 위해 다중회귀분석을 실시하였다. 대상자의 조직공정성과 재직 의도의 관계에서 직무만족과 조직몰입의 매개효과 검정은 Baron과 Kenny [
24]의 3단계 회귀분석을 사용하였으며 매개효과의 유의성 검정을 위해 부트스트래핑(bootstrapping) 방법을 사용하였다.
6. 윤리적 고려
본 연구는 국군의무사령부 의학연구윤리심의위원회(No. AFMC 2024-09-009-001)의 승인을 받은 후 진행하였다. 수집된 자료 중 연구 참여에 따른 보상을 위해 수집된 휴대 전화번호는 답례품 제공 후 파기하고 연구 대상자의 식별 정보는 삭제하고 임의의 번호를 부여하여 관리하였다. 설문지 등 대상자 관련 모든 서류는 이중 암호화하여 연구자 개인만 접근가능한 컴퓨터에 보관하여 연구자에 의해서만 자료가 다루어지도록 하였고 마지막으로 수집된 자료는 연구종료 후 3년간 보관하고, 보관 기간이 종료되면 영구적으로 삭제함을 알렸다. 본 연구에서는 자발적으로 연구 참여에 동의한 대상자에게서 자료를 수집하였다. 연구 참여에 따른 답례품 제공을 위해 수집된 휴대전화번호는 제공 후 즉시 파기하였으며, 연구 대상자의 개인식별정보는 삭제한 뒤 임의의 번호를 부여하여 관리하였다.
연구결과
1. 대상자의 일반적 특성 및 주요 변수
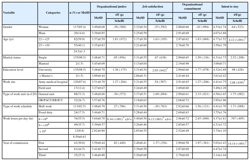
대상자는 여성이 117명(85.4%), 남성이 20명(14.6%)으로 여성이 더 많았고 평균 연령은 24.45±1.3세로 22세 이상 25세 미만이 82명(59.9%)으로 가장 많았으며 결혼 상태는 미혼 135명(98.5%), 기혼 2명(1.5%)으로 미혼이 더 많았다. 최종학력은 학사 135명(98.5%), 석사 2명(1.5%)으로 나타났다. 근무지는 병원 부대가 120명(87.6%), 병원 외 근무지가 17명(12.4%)이었다. 근무형태는 3교대가 113명(82.5%)이었으며, 일 평균 근무시간은 8시간 이상 9시간 미만 76명(55.5%)으로 가장 많았다. 대상자들의 임관 연차는 1년차 41명(30.0%), 2년차 61명(44.5%), 3년차 35명(25.5%)으로 확인되었다(
Table 1). 임관 연차에 따른 희망 복무 상태에서 1년차 중 장기 복무를 희망하는 인원은 22명(53.7%)으로 단기 복무 인원에 비해 많았고 2년차 중 장기 복무를 희망하는 인원은 21명(34.5%)으로 단기 복무 희망자 34명(55.7%)에 비해 적었다. 임관 3년차 간호장교의 희망 복무 상태는 단기 복무가 31명(88.6%)으로 가장 많았다(
Table 2).
2. 대상자의 조직공정성, 재직 의도, 직무만족 및 조직몰입 정도
대상자의 조직공정성, 재직 의도, 직무만족 및 조직몰입 정도는
Table 3과 같다. 대상자의 조직공정성의 평균은 5점 만점에 3.48±0.70점으로 나타났다. 하위영역별 점수로 분배공정성 3.26±0.70점, 절차공정성 3.55±0.83점, 상호작용공정성 3.62±0.83점으로 상호작용공정성이 가장 높았다. 재직 의도는 8점 만점에 4.29±1.72점으로 나타났다. 직무만족은 5점 만점에 3.30±0.54점으로 나타났으며 조직몰입은 5점 만점에 2.88±0.66점으로 나타났다. 조직몰입의 하위영역별 점수로 정서적 몰입 2.98±0.88점, 근속적 몰입 2.60±0.83점, 규범적 몰입 3.06±0.57점으로 규범적 몰입이 가장 높았다.
3. 일반적 특성에 따른 조직공정성, 직무만족 및 조직몰입, 재직 의도의 차이
대상자의 일반적 특성에 따른 조직공정성, 직무만족, 조직몰입, 재직 의도의 차이를 분석한 결과는
Table 1과 같다. 조직공정성의 차이는 일 평균 근무시간(F=8.34,
p<.001)에 따른 유의한 차이가 있었다. 직무만족은 최종학력(t=2.05,
p=.042), 일 평균 근무시간(F=6.13,
p=.003)에 따른 유의한 차이가 있었다. 재직 의도에는 만 나이(t=4.12,
p<.001), 현 근무지(t=2.08,
p=.039), 임관 연차(F=14.14,
p<.001)에 따른 유의한 차이가 있었다. 임관 연차에 따른 변수의 차이를 분석한 결과는
Table 2와 같다. 조직공정성의 차이는 임관 2년차의 희망복무 형태(F=5.37,
p=.007)에 따라 유의미한 차이가 있었다. 직무만족은 임관 1년차의 희망복무 형태(t=-2.12,
p=.040) 및 임관 2년차의 희망복무 형태(F=4.82,
p=.011)에 따라 유의미한 차이가 있었다. 조직몰입은 임관 1년차의 희망복무 형태(t=-4.47,
p<.001), 임관 2년차의 희망복무 형태(F=19.93,
p<.001), 임관 3년차의 희망복무 형태(t=-3.19,
p=.003)에 따른 유의한 차이가 있었다. 재직 의도는 임관 1년차의 희망복무 형태(t=-7.03,
p<.001), 임관 2년차의 희망복무 형태(F=55.36,
p<.001), 임관 3년차의 희망복무 형태(t=-3.03,
p=.004)에 따라 유의미한 차이가 있었다. 조직몰입은 일반적 특성에 따른 유의한 차이를 나타내는 변수가 없었다.
4. 대상자의 조직공정성, 직무만족 및 조직몰입, 재직 의도의 상관관계
대상자의 조직공정성, 직무만족 및 조직몰입, 재직 의도의 상관관계 분석 결과 조직공정성은 직무만족(
r=.75,
p<.001), 조직몰입(
r=.45,
p<.001), 재직 의도(
r=.35,
p<.001)와 유의미한 정의 상관관계를 보였다. 직무만족은 조직몰입(
r=.65,
p<.001)과 재직 의도(
r=.49,
p<.001)와 유의미한 정의 상관관계를 보였으며 조직몰입은 재직 의도(
r=.67,
p<.001)와 유의미한 정의 상관관계를 보였다(
Table 4).
5. 대상자의 조직공정성과 재직 의도의 관계에서 직무만족 및 조직몰입의 매개효과
대상자의 조직공정성과 재직 의도 간 직무만족과 조직몰입의 매개효과 검정을 실시한 결과는
Table 5와 같다. 조직공정성과 재직 의도의 관계에서 직무만족 및 조직몰입의 매개효과를 분석하기 전 회귀분석의 가정을 검정한 결과, Durbin-Watson 통계량은 2에 근접한 수치인 1.94로 오차의 자기상관의 문제가 없다고 나타났으며 분산팽창인자(variance inflation factor) 또한 10 미만으로 다중공선성 문제는 없다고 평가되었다. 회귀모형은 통계적으로 유의하게 나타났고(F=30.39
p<.001), 설명력은 약 56%로 확인되었다. 직무만족과 조직몰입의 매개효과 검정을 위하여 Baron과 Kenny [
24]의 3단계 회귀분석 방법과 process macro의 model 4를 이용하여 분석하였고 매개효과의 유의성 검증을 위해 5,000번 반복 추출하여 부트스트랩을 실시하였다.
조직공정성에서 직무만족으로의 직접효과(β=.75, p<.001)와 조직공정성에서 조직몰입으로의 직접효과(β=.45, p<.001)는 통계적으로 유의하였다. 직무만족에서 재직 의도의 직접효과(β=.52, p<.001)와 조직몰입에서 재직 의도로의 직접효과(β=.65, p<.001)는 통계적으로 유의하였으나, 조직공정성에서 재직 의도로의 직접효과(β=-.04, p=.711)는 유의하지 않았다.
부트스트래핑으로 대상자의 조직공정성과 재직 의도 간 직무만족 및 조직몰입의 매개효과를 검증한 결과, 조직공정성이 직무만족을 매개하여 재직 의도에 미치는 간접효과는 95% 신뢰구간에 0이 포함되지 않아 통계적으로 유의하였으며(B=.98; 95% CI, .58∼1.43), 조직공정성이 조직몰입을 매개하여 재직 의도에 미치는 간접효과는 95% 신뢰구간에 0이 포함되지 않아 통계적으로 유의하였다(B=.73; 95% CI, .43∼1.04).
논의
본 연구는 초급 간호장교의 조직공정성, 재직 의도, 직무만족, 조직몰입 정도를 확인하고 조직공정성과 재직 의도의 관계에서 직무만족 및 조직몰입의 매개효과를 확인함으로써 초급 간호장교의 재직 의도 향상 방안 및 군 간호 인력 관리를 위한 기초자료를 마련하기 위해 시행된 연구이다. 본 연구 결과를 바탕으로 아래와 같이 논의하고자 한다.
본 연구의 대상자의 조직공정성은 3.48±0.70점으로 나타났다. 동일한 도구로 간호사의 조직공정성을 측정한 선행 연구[
7,
16]에 비해 본 연구 대상자의 조직공정성 점수가 더 높게 측정되었다. 이는 군 내 성과 상여금, 보고 체계 등이 잘 정립되어 있어 민간 병원 간호사 대비 조직공정성을 더 긍정적으로 인식하는 것으로 생각한다. 직무만족은 3.30±0.54점으로 측정되었다. 동일한 도구로 측정한 선행 연구[
25]보다 본 연구의 대상자의 직무만족이 더 높게 측정되었다. 선행 연구와 본 연구를 종합하면 간호장교의 직무만족은 3점 수준임을 알 수 있었으나 근무지, 업무 및 보직 특성에 따른 차이가 있을 수 있어 후속 연구로 간호장교의 직무만족 정도를 지속적으로 확인할 필요가 있다. 조직몰입은 2.88±0.66점으로 측정되었으며, 같은 도구를 사용하여 측정한 Kim [
21]의 연구에 비해 본 연구 대상자의 조직몰입이 낮게 측정되었다. 이는 대상자의 직군 차이에 기인한 것으로 생각되는데, 특히 간호장교는 간호사로서의 전문성 발휘와 동시에 군 간부로서 군 조직의 규율과 책임을 이행해야 하는 이중적인 역할을 맡기 때문으로 보인다. 간호장교는 간호사와 군인의 역할을 동시에 수행하는 특수한 인력이기 때문에 추후 간호장교의 조직몰입을 측정하는 도구 개발이 필요하리라 판단된다. 재직 의도는 4.29±1.72점으로 나타났는데 선행 연구[
7,
26]보다 본 연구 대상자의 재직 의도가 더 낮게 측정되었다. 이는 민간 병원 간호사와 달리 군인과 간호사 역할을 동시에 수행하는 업무의 특수성 때문에 낮게 측정되는 것으로 판단된다. 간호장교는 군 조직 특유의 위계질서 및 규율을 따라야 하므로 민간 병원에 비해 어려운 복무 환경이며, 다양한 교육 및 더 높은 직급으로의 승진 가능성이 높은 민간 병원 간호사보다 군 내 경력 개발이나 전문 분야에 대한 교육 기회가 상대적으로 적다. 따라서 간호장교의 경력 개발을 위한 다양한 교육 프로그램, 국내외 연수 기회 제공하고 위계적이고 경직된 군 조직문화를 유연하게 개선할 필요가 있을 것으로 생각한다.
본 연구에서 조직공정성이 재직 의도에 미치는 영향에서 직무만족과 조직몰입의 매개효과를 분석한 결과 조직공정성과 재직 의도의 관계에서 직무만족 및 조직몰입이 완전 매개함을 알 수 있었다. 이는 초급 간호장교의 조직공정성이 재직 의도에 직접적인 영향을 주기보다 직무만족과 조직몰입을 통해 재직 의도가 유의하게 높아지는 것임을 의미한다. 즉, 조직공정성이 높을수록 직무만족과 조직몰입이 높아지고 직무만족과 조직몰입이 재직 의도에 유의한 영향을 끼치는 것이다. 본 연구결과와 직접적으로 유사한 결과를 찾기는 힘들었으나, 이와 같은 결과는 조직공정성이 재직 의도와 연관이 있으며[
27,
28], 직무만족과 조직몰입에 영향을 끼치고[
29,
30] 직무만족과 조직몰입이 재직 의도에 영향을 미치는 Putra 등[
14]의 결과와 일치하였다. 또한 본 연구를 통해 조직공정성과 재직 의도의 관계에서 직무만족 및 조직몰입의 매개효과를 확인하여 초급 간호장교의 조직공정성과 재직 의도를 향상시키는 여러 방안을 위한 이론적 근거가 제시되었다. 본 연구에서 직무만족과 조직몰입이 재직 의도에 완전 매개하여 영향을 미치는 것을 알 수 있었다. 즉 초급 간호장교의 조직공정성은 직무만족과 조직몰입을 매개로 재직 의도에 긍정적인 영향을 미치기 때문에 단순히 조직공정성이 높다고 해서 곧바로 재직 의도로 이어지는 것이 아니라, 간호장교가 직무에 만족하고 조직에 헌신할 때 재직 의도가 높아지는 것을 의미한다. 이는 실제 군 조직에서 조직공정성을 높이는 제도적 노력과 더불어 간호장교들의 직무만족과 몰입을 촉진하는 조직문화 개선이 필요함을 시사한다. 초급 간호장교들의 조직공정성을 높이기 위한 군 및 간호병과 내 지원과 제도 확립이 필요할 것으로 생각한다. 또한 직무만족 및 조직몰입은 간호사의 재직에 영향을 주며 효과적인 간호사 유지 전략을 수립하는데 있어 중요한 요소로 작용하기 때문에[
14] 초급 간호장교의 재직 의도를 높이는 대책을 마련하기 위해서는 초급 간호장교들이 현재 본인의 직무에 대해 만족하고 조직에 몰입할 수 있는 군 및 간호병과 내 지원과 제도적 장치를 마련하는 것이 필요하다. 정기적으로 초급 간호장교들의 직무만족도를 평가하고 이를 저하시키는 요인을 감소시키기 위한 노력 등의 적극적인 방안을 찾아야 하며 조직몰입을 높일 수 있도록 다양한 전략이 요구된다. 이는 궁극적으로 초급 간호장교의 재직 의도를 높여 오랫동안 복무할 수 있게 하고 숙련된 간호인력 확보 및 군 간호 발전에 기여할 것으로 생각된다.
본 연구는 초급 간호장교를 대상으로 자발적 참여 의사를 밝힌 대상자로 편의 표집하여 연구를 진행하였기 때문에 연구의 결과를 초급 간호장교 전체로 일반화하기에는 제한이 있고 온라인 설문조사를 통한 자기기입식 답변을 활용한 연구이기 때문에 응답자의 상황이나 상태에 따라 설문 답변에 영향을 미칠 가능성이 있어 실제 결과와 차이가 있을 수 있다는 제한점이 있다. 이러한 제한점에도 불구하고 초급 간호장교의 조직공정성 및 재직 의도를 파악하고, 직무만족과 조직몰입의 매개효과가 규명되었다는 것에 의의가 있다.
결론
본 연구는 초급 간호장교의 조직공정성, 직무만족 및 조직몰입이 재직 의도에 미치는 영향을 확인하고 조직공정성과 재직 의도 간의 관계에서 직무만족과 조직몰입의 매개효과를 확인하였다. 연구 결과 조직공정성과 재직 의도 간의 관계에서 직무만족 및 조직몰입의 매개효과를 분석하였을 때 직무만족 및 조직몰입이 완전매개 효과가 있음을 확인하였다. 본 연구 결과에 따라 초급 간호장교의 재직 의도를 높이기 위해서 초급 간호장교의 조직공정성, 직무만족 및 조직몰입을 높일 수 있는 효과적인 대책 수립 및 프로그램 개발 필요성을 제언한다. 본 연구는 초급 간호장교의 재직 의도를 향상시키고 효율적인 군 간호 인력 관리를 위한 전략 개발에 있어 필요한 기초 자료가 될 것으로 기대된다. 본 연구 결과를 토대로 다음과 같이 제언한다. 첫째, 간호 연구 측면에서 본 연구는 편의표집을 통해 시행한 연구로 본 연구 결과를 초급 간호장교 전체로 일반화 하기에 제한이 있다. 따라서 다양한 근무지 및 부서와 해, 공군 초급 간호장교를 대상으로 추후 반복 연구를 제언한다. 둘째, 본 연구에서 사용한 각 변수들은 간호장교의 특수한 근무환경과 조직 문화적 맥락을 충분히 반영하지 못한 제한점이 있다. 따라서 간호장교의 재직 의도 개념을 탐구할 수 있는 개념적 틀을 개발하고 이에 따른 추후 반복 연구를 제언한다. 셋째, 본 연구에서는 조직공정성과 재직 의도의 관계를 설명하는 매개변수로 직무만족과 조직몰입을 설정하였다. 따라서 직무만족과 조직몰입을 독립변수로 설정하여 재직 의도에 미치는 직접적 영향을 확인하는 후속 연구를 제언한다. 또한 향후 연구에서는 직무만족과 조직몰입의 이중매개효과를 검증함으로써, 조직공정성과 재직 의도의 관계를 보다 통합적이고 정교하게 설명할 필요가 있다. 넷째, 간호 실무 측면에서는 초급 간호장교의 재직 의도를 높이기 위한 워크숍 개최 등의 다양한 방안 마련과 병과 자체 초급 간호장교 확보를 위한 프로그램 개발의 필요성을 제언한다.
Article Information
-
Author contributions
Conceptualization: JSB, SHB. Methodology: JSB. Formal analysis: JSB. Data curation: JSB. Visualization: JSB. Project administration: JSB. Funding acquisition: JSB. Writing - original draft: JSB. Writing - review & editing: JSB,SHB. All authors read and agreed to the published version of the manuscript.
-
Conflict of interest
None.
-
Funding
None.
-
Data availability
Please contact the corresponding author for data availability.
-
Acknowledgments
None.
Table 1.Differences in Variables According to General Characteristics (N=137)
|
Variable |
Category |
n (%) or M±SD |
Organizational justice |
Job satisfaction |
Organizational commitment |
Intent to stay |
|
M±SD |
t/F (p) |
M±SD |
t/F (p) |
M±SD |
t/F (p) |
M±SD |
t/F(p) |
|
Scheffé |
Scheffé |
Scheffé |
Scheffé |
|
Gender |
Woman |
117(85.4) |
3.49±0.68 |
-.58 (.560) |
3.32±0.54 |
-.53 (.592) |
2.88±0.66 |
-.01 (.994) |
4.33±1.74 |
-64 (.523) |
|
Mam |
20(14.6) |
3.39±0.85 |
|
3.25±0.59 |
|
2.91±0.68 |
|
4.07±1.68 |
|
|
Age (yr) |
22∼<25 |
82(59.9) |
3.57±0.59 |
1.81 (.072) |
3.37±0.50 |
1.63 (.105) |
2.97±0.62 |
1.83 (.069) |
4.77±1.52 |
4.12 (<.001)*
|
|
25∼<30 |
55(40.1) |
3.35±0.83 |
|
3.21±0.60 |
|
2.76±0.70 |
|
3.59±1.79 |
|
|
24.5±1.3 |
|
|
|
|
|
|
|
|
|
Marital statue |
Single |
135(98.5) |
3.48±0.71 |
.05 (.956) |
3.31±0.55 |
.47 (.638) |
2.89±0.65 |
1.50 (.136) |
4.31±1.73 |
2.52 (.208) |
|
Married |
2(1.5) |
3.45±0.09 |
|
3.13±0.04 |
|
2.19±0.98 |
|
3.00±0.71 |
|
|
Education level |
University |
135(98.5) |
3.48±0.70 |
1.36 (.175) |
3.31±0.54 |
2.05 (.042)*
|
2.90±0.66 |
1.77 (.078) |
4.32±1.69 |
.98 (.428) |
|
≥Master’s |
2(1.5) |
3.09±0.44 |
|
2.86±0.31 |
|
2.41±0.44 |
|
3.61±2.42 |
|
|
Work site |
Army medical hospital |
120(87.6) |
3.51±0.70 |
1.27 (.204) |
3.31±0.55 |
.54 (.587) |
2.91±0.65 |
1.27 (.206) |
4.41±1.75 |
2.08 (.039)*
|
|
Field unit |
17(12.4) |
3.27±0.67 |
|
3.24±0.49 |
|
2.69±0.68 |
|
3.49±1.28 |
|
|
Type of work unit (n=120) |
General unit |
88(73.3) |
3.48±0.68 |
-.56 (.572) |
3.37±0.51 |
1.69 (.094) |
2.99±0.61 |
2.33 (.021) |
4.58±1.65 |
1.75 (.082) |
|
OR/PACU/ER/ICU |
32(26.7) |
3.57±0.76 |
|
3.18±0.63 |
|
2.68±0.72 |
|
3.95±1.96 |
|
|
Type of work schedule |
Shift work |
113(82.5) |
3.48±0.70 |
.27 (.786) |
3.31±0.56 |
-.30 (.763) |
2.92±0.66 |
1.56 (.121) |
4.41±1.70 |
1.71 (.088) |
|
Fixed duty |
24(17.5) |
3.44±0.71 |
|
3.28±0.44 |
|
2.69±0.63 |
|
3.75±1.76 |
|
|
Work hours per day (hr) |
8∼<9a
|
76(55.5) |
3.64±0.70 |
8.34 (<.001)* a,b>c |
3.40±0.56 |
6.13 (.003)* a,b>c |
2.96±0.72 |
2.45 (.090) |
4.37±1.81 |
.707 (.495) |
|
9∼<10b
|
49(35.7) |
3.39±0.57 |
|
3.26±0.46 |
|
2.85±0.57 |
|
4.31±1.72 |
|
|
≥10c
|
12(8.8) |
2.82±0.80 |
|
2.85±0.55 |
|
2.52±0.49 |
|
3.74±1.10 |
|
|
8.59±0.63 |
|
|
|
|
|
|
|
|
|
Year of commission |
First |
41(30.0) |
3.59±0.44 |
.82 (.440) |
3.40±0.41 |
1.37 (.256) |
2.99±0.58 |
1.97 (.381) |
5.02±1.43 |
14.14 (<.001)*
|
|
Second |
61(44.5) |
3.41±0.73 |
|
3.30±0.58 |
|
2.87±0.69 |
|
4.47±1.74 |
|
|
Third |
35(25.5) |
3.46±0.88 |
|
3.20±0.60 |
|
2.79±0.69 |
|
3.14±1.44 |
|
Table 2.Differences in Variables According to Preferred Service and Year of Commission (N=137)
|
Variable |
Category |
n (%) |
Organizational justice |
Job satisfaction |
Organizational commitment |
Intent to stay |
|
M±SD |
t/F (p) |
M±SD |
t/F (p) |
M±SD |
t/F (p) |
M±SD |
t/F (p) |
|
Scheffé |
Scheffé |
Scheffé |
Scheffé |
|
First-year commissioned officer (n=41) |
|
|
Preferred service |
Short term |
19 (46.3) |
3.64±0.39 |
.69 (.490) |
3.26±0.43 |
-2.12 (.040)*
|
2.63±0.50 |
-4.47 (<.001)*
|
3.89±1.06 |
-7.03 (<.001)*
|
|
Long term |
22 (53.7) |
3.55±0.49 |
|
3.52±0.36 |
|
3.30±0.46 |
|
6.01±0.87 |
|
|
Second-year commissioned officer (n=61) |
|
|
Preferred service |
Short terma
|
34 (55.7) |
3.18±0.62 |
5.37 (.007)*
|
3.13±0.55 |
4.82 (.011)*
|
2.50±0.60 |
19.93 (<.001)* b>a |
3.29±1.15 |
55.36 (<.001)* b>c>a |
|
Long termb
|
21 (34.5) |
3.80±0.61 |
|
3.60±0.43 |
|
3.44±0.44 |
|
6.32±0.91 |
|
|
Service extensionc
|
6 (9.8) |
3.35±1.18 |
|
3.26±0.87 |
|
2.94±0.46 |
|
4.69±0.70 |
|
|
Third-year commissioned officer (n=35) |
|
|
Preferred service |
Short term |
31 (88.6) |
3.45±0.83 |
.30 (.766) |
3.15±0.52 |
-1.15 (.257) |
2.66±0.58 |
-3.19 (.003)*
|
3.01±1.26 |
-3.03 (.004)*
|
|
Service extension |
4 (11.4) |
3.33±1.00 |
|
3.45±0.95 |
|
3.52±0.77 |
|
4.83±1.85 |
|
Table 3.Descriptive Statistics for Organizational Justice, Job Satisfaction, Organizational Commitment, and Intent to Stay (N=137)
|
Variable |
M±SD |
Min |
Max |
Range |
|
Organizational justice |
3.48±0.70 |
1.07 |
5.00 |
1∼5 |
|
Distributive justice |
3.26±0.70 |
1.00 |
5.00 |
|
|
Procedural justice |
3.55±0.83 |
1.00 |
5.00 |
|
|
Interactional justice |
3.62±0.83 |
1.00 |
5.00 |
|
|
Job satisfaction |
3.30±0.54 |
1.70 |
4.95 |
1∼5 |
|
Organizational commitment |
2.88±0.66 |
1.44 |
5.00 |
1∼5 |
|
Affective commitment |
2.98±0.88 |
1.00 |
5.00 |
|
|
Continuance commitment |
2.60±0.83 |
1.00 |
5.00 |
|
|
Normative commitment |
3.06±0.57 |
1.67 |
5.00 |
|
|
Intent to stay |
4.29±1.72 |
1.00 |
8.00 |
1∼8 |
Table 4.Correlations among Organizational Justice, Job Satisfaction, Organizational Commitment, and Intent to Stay (N=137)
|
r (p) |
|
Variable |
Organizational justice |
Job satisfaction |
Organizational commitment |
Intent to stay |
|
Organizational justice |
1 |
|
|
|
|
Job satisfaction |
.75 (<.001) |
1 |
|
|
|
Organizational commitment |
.45 (<.001) |
.65 (<.001) |
1 |
|
|
Intent to stay |
.35 (<.001) |
.49 (<.001) |
.67 (<.001) |
1 |
Table 5.Mediating Effects of Job Satisfaction and Organizational Commitment in the Relationship between Organizational Justice and Intent to Stay (N=137)
|
Effect |
Path |
B |
SE |
β
|
t |
p
|
Bootstrapping (95% CI) |
|
Effect |
SE |
LLCI |
ULCI |
|
Direct |
OJ→JS |
.58 |
.04 |
.75 |
13.55 |
<.001 |
|
|
|
|
|
OJ→OC |
.42 |
.07 |
.45 |
5.97 |
<.001 |
|
|
|
|
|
JS→IS |
1.67 |
.36 |
.52 |
4.56 |
<.001 |
|
|
|
|
|
OC→IS |
1.70 |
.18 |
.65 |
9.14 |
<.001 |
|
|
|
|
|
OJ→IS |
-.10 |
.28 |
-.04 |
-.37 |
.711 |
|
|
|
|
|
Indirect |
OJ→JS→IS |
|
.98 |
.21 |
.58 |
1.43 |
|
OJ→OC→IS |
.73 |
.15 |
.43 |
1.04 |
|
R2=.56, F=30.39, p<.001, bootstrap samples=5,000 |
REFERENCES
- 1. Lee SY, Choi JA, Lee JH. A study on military nursing officers’ nursing professional values, job satisfaction, and nursing performance. Korean Journal of Military Nursing Research. 2008;26(1):105-23.
- 2. Park DE, Joe SY, Keum KR. Perceived workplace bullying, job satisfaction and turnover intention among nursing officers in armed forces hospitals. Korean Journal of Military Nursing Research. 2019;37(1):86-100. https://doi.org/10.31148/kjmnr.2019.37.1.86
- 3. Boyle DK, Bott MJ, Hansen HE, Woods CQ, Taunton RL. Manager's leadership and critical care nurses' intent to stay. American Journal of Critical Care. 1999;8(6):361-71. https://doi.org/10.4037/ajcc1999.8.6.361
- 4. Kim EG, Jung MS, Kim JK, You SJ. Factors affecting new graduate nurses' intention on retention in hospitals: focused on nursing organizational culture, empowering leadership and organizational socialization. Journal of Korean Academy of Nursing Administration. 2020;26(1):31-41. https://doi.org/10.11111/jkana.2020.26.1.31
- 5. Park S, Lee T. Factors influencing Korean nurses' intention to stay: A systematic review and meta-analysis. Journal of Korean Academy of Nursing Administration. 2018;24(2):139-148. https://doi.org/10.11111/jkana.2018.24.2.139
- 6. Niehoff BP, Moorman RH. Justice as a mediator of the relationship between methods of monitoring and organizational citizenship behavior. Academy of Management Journal. 1993;36(3):527-556. https://doi.org/10.2307/256591
- 7. Chun GM, Park HJ. The influence of organizational justice, positive psychological capital, working as meaning on hospital nurses’ retention intention. Journal of the Korea Academia-Industrial Cooperation Society. 2023;24(4):503-512. https://doi.org/10.5762/KAIS.2023.24.4.503
- 8. Su Y, Jiang Z, Meng R, Lu G, Chen C. The effect of organizational justice on young nurses’ turnover intention: The mediating roles of organizational climate and emotional labour. Nurse Education in Practice. 2023;72:103723. https://doi.org/10.1016/j.nepr.2023.103723
- 9. Locke EA. The nature and causes of job satisfaction. In: Dunnette MD, editor. Handbook of industrial and organizational psychology. Chicago, IL: Rand McNally; 1976. p. 1297-1343.
- 10. Park AS, Cho YC. Analysis of the related factors on job satisfaction in nursing officers using the structural equation model. Journal of the Korea Academia-Industrial Cooperation Society. 2011;12(10):4502-4512. https://doi.org/10.5762/KAIS.2011.12.10.4502
- 11. Kim HW, Kim SY, Won YJ, Joe SY. Factors influencing disaster nursing competency of Korea armed forces nursing academy graduates: Focusing on grit, job satisfaction, and graduating achievement. Korean Journal of Military Nursing Research. 2023;41(4):39-53. https://doi.org/10.31148/kjmnr.2023.41.4.39
- 12. Han SJ. Effect of nursing organizational culture, organizational silence, and organizational commitment on the intention of retention among nurses: Applying the process macro model 6. Korean Academic Society Of Occupational Health Nursing. 2022;31(1):31-41. https://doi.org/10.5807/kjohn.2022.31.1.31
- 13. Mowday RT, Steers RM, Porter LW. The measurement of organizational commitment. Journal of Vocational Behavior. 1979;14(2):224-247. https://doi.org/10.1016/0001-8791(79)90072-1
- 14. Putra AP, Kusnanto K, Yuwono SR. Effects of job satisfaction and organizational commitment on nurse retention: a systematic review. Indonesian Nursing Journal of Education and Clinic. 2020;5(2):197-205. http://dx.doi.org/10.24990/injec.v5i2.319
- 15. Choi M, Cho HY. Role of organizational commitment in mediating relationship between professional autonomy and retention intention among public hospital nurses. Journal of Korean Academy of Nursing Administration. 2024;30(3):224-34. https://doi.org/10.11111/jkana.2024.30.3.224
- 16. Meyer JP, Becker TE, Vandenberghe C. Employee commitment and motivation: A conceptual analysis and integrative model. Journal of Applied Psychology. 2004;89(6):991-1007. https://doi.org/10.1037/0021-9010.89.6.991
- 17. Jung YR, Choi SY. The influence of organizational justice, organizational culture and emotional intelligence on intention of retention in reemployed nurses. Journal of Korean Academy of Nursing Administration. 2020;26(5):501-510. https://doi.org/10.11111/jkana.2020.26.5.501
- 18. Weiss DJ, Dawis RV, England GW. Manual for the Minnesota Satisfaction Questionnaire. Minnesota Studies in Vocational Rehabilitation. 1967;22:120.
- 19. Park JW. Analysis of the impact by compensation improvement on job satisfaction and willingness to continue service [master's thesis]. Jeju: Jeju University; 2024.
- 20. Meyer JP, Allen NJ. A three-component conceptualization of organizational commitment. Human Resource Management Review. 1991;1(1):61-89. https://doi.org/10.1016/1053-4822(91)90011-Z
- 21. Kim SE. A study on the influence of self-esteem of professional soldiers on marital satisfaction, marital stability, job satisfaction, and organizational commitment [dissertation]. Cheonan: Baekseok University; 2014.
- 22. Cowin L. The effects of nurses' job satisfaction on retention: an Australian perspective. Journal of Nursing Administration. 2002;32(5):283-291. https://doi.org/10.1097/00005110-200205000-00008
- 23. Kim MJ. The effect of nursing organizational culture on nurses' intention of retention [master's thesis]. Seoul: Hanyang University; 2006.
- 24. Baron RM, Kenny DA. The moderator-mediator variable distinction in social psychological research: Conceptual, strategic, and statistical considerations. Journal of Personality and Social Psychology. 1986;51(6):1173-1182. https://doi.org/10.1037/0022-3514.51.6.1173
- 25. Kim TY, Han KS. The moderating effects of self-esteem and ego-resilience on the relationship between emotional labor, depressive symptom, and job satisfaction in nurses. Journal of Korean Academy of Psychiatric and Mental Health Nursing. 2021;30(3):209-219. https://doi.org/10.12934/jkpmhn.2021.30.3.209
- 26. Yoon SH, An HJ. Analysis of factors influencing the intent to stay among military hospital nurses. Korean Journal of Occupational Health Nursing. 2022;31(2):86-94. https://doi.org/10.5807/kjohn.2022.31.2.86
- 27. Wang L, Miao M, Yu X. Long-term care nurses’ intent to stay, job characteristics, and organizational justice : a structural equation model. Innovation in Aging. 2020;4(Suppl 1):85. https://doi.org/10.1093/geroni/igaa057.279
- 28. Mahfouz S, Halim MS, Bahkia AS, Alias N. The impact of organizational justice on intention to stay: The mediating role of organizational commitment. Corporate Governance and Organizational Behavior Review. 2022;6(1):139-149. https://doi.org/10.22495/cgobrv6i1p10
- 29. Chegini Z, Janati A, Asghari-Jafarabadi M, Khosravizadeh O. Organizational commitment, job satisfaction, organizational justice and self-efficacy among nurses. Nursing Practice Today. 2019;6(2):86-93. https://doi.org/10.18502/npt.v6i2.913
- 30. Deressa B, Adugna K, Bezane B, Jabessa M, Wayessa G, Kebede A, et al. The relationship between organizational commitment and organizational justice among health care workers in Ethiopian Jimma Zone public health facilities. Journal of Healthcare Leadership. 2022;14:5-16. https://doi.org/10.2147/JHL.S345528
Figure & Data
Citations
Citations to this article as recorded by
