Abstract
-
Purpose
This study examined the double mediating effects of positive psychological capital and work engagement on the relationship between nurse unit managers’ empowering leadership and nurses’ patient safety nursing activities.
-
Methods
Data were collected from 217 ward nurses employed at a tertiary hospital. Statistical analyses were conducted using SPSS version 29.0. Differences between groups were tested using independent t-tests, one-way analysis of variance, and the Duncan method. When normality assumptions were violated, the Mann–Whitney U and Kruskal–Wallis tests with Bonferroni correction were applied. Pearson correlation coefficients were computed, and mediation analysis was performed using Hayes’ PROCESS macro model 6.
-
Results
Empowering leadership among nurse unit managers had a significantly positive effect on patient safety nursing activities. Furthermore, positive psychological capital and work engagement demonstrated significant double mediating effects on the relationship between empowering leadership and patient safety nursing activities.
-
Conclusion
Enhancing patient safety nursing activities requires the establishment of a safety culture and institutional framework, the development of leadership training programs, and provision of systematic education.
-
주요어: 리더십, 직무열의, 환자안전, 간호사
-
Key Words: Leadership; Work engagement; Patient safety; Nurses
서론
1. 연구의 필요성
의학기술의 발달과 평균수명의 연장으로 건강에 대한 관심이 높아지면서 안전한 의료환경과 질 높은 의료서비스에 대한 국민의 요구도가 증가하고 있다[
1]. 이에 정부는 의료서비스 수준의 평가를 통해 환자안전과 의료서비스의 질을 향상시키고자 2010년에 의료기관 인증제도를 도입하였고[
2,
3], 2015년에는 환자안전법을 제정하고 환자안전사고 예방을 위한 ‘환자안전보고학습시스템(Korea Patient Safety Reporting and Learning System [KOPS])’을 구축하였다[
2].
환자안전사고는 보건의료인이 환자에게 보건의료서비스를 제공하는 과정에서 환자안전에 위해가 발생하였거나 발생할 우려가 있는 사고로 정의되며[
4], 가벼운 손상부터 환자의 생명을 위협하는 영구적 장애나 사망을 초래할 수 있어 의료의 질을 결정하는 중요한 요인으로 인식되고 있다[
5,
6]. 환자안전간호활동은 치료 과정에서 발생하거나 발생 가능한 오류를 발견하여 개선하고 예방하는 활동으로, 환자안전을 위한 병원 내 모든 활동을 포괄한다[
7].
간호사는 자율적이고 주체적인 판단을 요구하는 업무 특성상 뛰어난 임상적 역량과 자율성, 우선순위에 따른 의사결정 능력이 필수적이므로, 간호단위관리자의 임파워링리더십(empowering leadership)이 특히 중요하다[
8]. 임파워링리더십은 위임, 주도, 효능감 증진, 관심 표출, 정보 공유, 솔선수범 등의 구체적인 임파워먼트(권한 부여) 행위를 통해 조직 구성원과 권한을 공유하고 자율성을 부여하는 리더십 유형이다[
9,
10]. 간호사의 임파워먼트가 높아질수록 환자안전활동 수행을 유의하게 증가시켰는데[
11], 이는 임파워링리더십이 간호사들에게 자율성과 권한을 부여하여 환자안전에 대한 책임감과 주도적 참여를 강화하기 때문으로 해석된다[
12].
긍정심리자본은 Luthans와 Youssef [
13]가 개념화된 것으로, 자기효능감, 희망, 낙관주의, 복원력이 통합된 고차원의 핵심 구성개념으로 개인의 성취와 발전을 추구하는 긍정적 심리상태를 의미한다. 임파워링리더십은 구성원의 긍정심리자본을 증진시키는 것으로 나타났으며[
14], 긍정심리자본이 높은 간호사는 환자안전간호활동을 더 적극적으로 수행하는 것으로 확인되었다[
15]. 이는 긍정심리자본이 급변하는 임상현장에서 간호업무 수행에 필요한 긍정적 동기부여를 촉진하여 업무에 대한 부정적 태도를 줄이기 때문이다[
16].
직무 열의는 Schaufeli 등[
17]이 제시한 개념으로, 업무에 대한 긍정적이고 성취감을 주는 마음가짐으로 정의되며, 활력, 전념, 몰입의 세 가지 하위 요인으로 구성된다. 간호사의 긍정심리자본은 직무 열의와 유의한 양의 관련성을 보이는 것으로 나타났으며[
16,
18], 간호단위관리자의 임파워링리더십은 간호사의 직무 열의와 유의한 양의 상관관계를 보였다[
19]. 또한 높은 직무 열의를 가진 간호사는 환자안전간호활동을 더욱 적극적으로 수행하며, 강한 소속감과 긍정적 피드백을 바탕으로 본연의 직무를 넘어서는 역할에도 열정을 보여 효율적인 업무수행을 통한 오류 감소로 환자안전과 간호의 질 향상에 기여하는 것으로 확인되었다[
20,
21].
이러한 선행 연구 결과들을 바탕으로, 임파워링리더십과 환자안전간호활동 간의 관계에서 긍정심리자본과 직무 열의의 순차적 매개역할을 검토할 필요가 있다. 이중 매개효과는 독립변수가 종속변수와 연관되는 과정에서 두 개의 매개변수가 순차적으로 작용하는 매개 메커니즘을 의미한다[
22]. 긍정심리자본이 직무 열의로 이어지는 경로는 Fredrickson [
23]의 확장-구축 이론(Broaden-and-Build theory)에 의해 뒷받침된다. 이 이론에 따르면 긍정적 심리자원이 개인의 사고와 행동 범위를 확장시켜 지속적인 심리적 자원의 구축을 가능하게 하며, 궁극적으로 업무에 대한 열의와 몰입을 증진시킨다고 본다. 이러한 이론적 근거는 Sweetman과 Luthans의 연구[
24]와 국내 간호학 연구들에서도 지지되고 있다[
25,
26].
선행 연구에서 임파워링리더십, 긍정심리자본, 직무 열의, 환자안전간호활동 간의 개별적 관계는 확인되었으나, 이들 변수가 어떠한 메커니즘을 통해 순차적으로 작용하여 환자안전간호활동과 관련되는지에 대한 통합적 검증은 부족한 실정이다. 특히 긍정심리자본과 직무 열의가 임파워링리더십과 환자안전간호활동 간의 관계에서 이중 매개효과를 가지는지에 대한 실증적 근거는 미흡하다.
따라서 본 연구는 간호사가 인식하는 간호단위관리자의 임파워링리더십과 긍정심리자본, 직무 열의 간의 관계를 분석하고, 긍정심리자본과 직무 열의의 순차적 이중 매개효과를 검증함으로써 임파워링리더십과 환자안전간호활동 간의 관련성이 나타나는 구체적 경로를 규명하고자 한다. 이를 통해 간호단위관리자가 실무에서 활용할 수 있는 단계적 관리전략 마련에 기초 자료를 제공하여 환자안전간호활동 증진과 간호의 질 향상에 기여하고자 한다.
2. 연구의 목적
본 연구의 목적은 간호사가 인식하는 간호단위관리자의 임파워링리더십, 간호사의 긍정심리자본, 직무 열의, 환자안전간호활동 간의 관계를 규명하고, 긍정심리자본과 직무 열의의 순차적 이중 매개효과를 검증하는 데 목적이 있다. 구체적인 목적은 다음과 같다.
• 연구 대상자의 일반적 특성에 따른 간호단위관리자의 임파워링리더십, 간호사의 긍정심리자본, 직무 열의, 환자안전간호활동의 차이를 분석한다.
• 간호단위관리자의 임파워링리더십, 간호사의 긍정심리자본, 직무 열의, 환자안전간호활동 간의 상관관계를 파악한다.
• 간호단위관리자의 임파워링리더십과 환자안전간호활동의 관계에서 긍정심리자본과 직무 열의의 매개효과와 순차적 이중 매개효과를 검증한다.
연구방법
1. 연구 설계
본 연구는 간호단위관리자의 임파워링리더십, 간호사의 긍정심리자본, 직무 열의 및 환자안전간호활동과의 관련성을 파악하기 위한 서술적 조사연구이다.
2. 연구 대상
본 연구의 대상은 충북에 소재한 일개 상급종합병원의 입원병동 간호단위에서 직접 환자간호를 수행하며, 설문 당시 현재의 간호단위관리자와 6개월 이상 함께 근무한 간호사이다. 연구 대상자의 수는 G*Power 3.1.9.7 프로그램(Heinrich-Heine-Universität Düsseldorf)을 이용하여 산출하였다. 매개효과 분석을 위해 Han과 Jung [
27]의 효과 크기(f²=0.15)를 근거로 선택하였다. 해당 연구는 간호사를 대상으로 한 리더십 매개효과 연구로서 본 연구와 유사한 특성을 가지며, Cohen [
28]이 제시한 중간 효과 크기 기준에 부합하여 매개모형에서 의미 있는 효과를 탐지할 수 있다. 검정력은 0.90으로 설정하였는데, 이는 매개효과 분석에서 간접효과의 크기가 상대적으로 작아 높은 검정력이 필요하고, 이중 매개효과 분석에서 제2종 오류를 최소화하기 위함이다[
22,
29].
다중회귀분석에서 효과 크기 0.15, 유의수준 0.05, 검정력 0.90과 예측변수 22개(일반적 특성 10개, 하위 영역 12개)를 기준으로 계산한 결과, 최소 표본 크기는 198명이었다. 10% 탈락률을 고려하여 218명을 선정하였고, 총 218부가 회수되었으나 간호단위관리자와 6개월 이상 근무경력의 선정기준에 부합하지 않은 설문 1부를 제외한 217부를 최종 분석에 이용하였다. 분석에 이용된 217부의 설문 응답은 모든 문항에 결측치가 없어 별도의 결측치 처리는 수행하지 않았다.
3. 연구 도구
1) 대상자의 일반적 특성
대상자의 일반적 특성은 성별, 나이, 학력, 근무부서, 근무형태, 총 임상경력, 현 부서 경력, 1년 이내 환자안전교육 이수 여부, 6개월 이내 환자안전사고의 경험 횟수, 6개월 이내 경험한 환자안전사고의 종류를 포함하여 총 10문항으로 측정하였다.
2) 임파워링리더십
임파워링리더십은 Arnold 등[
9]이 개발한 38문항의 도구를 Kim 등[
30]이 타당도 검증을 통해 34문항으로 축소한 도구를 사용하였다. 본 도구는 총 34문항으로, 솔선수범(4문항), 참여적 의사결정(4문항), 코칭(11문항), 정보공유(6문항), 관심표출(9문항)의 5개의 하위 요인으로 구성되어 있다. 각 문항은 ‘전혀 그렇지 않다(1점)’의 1점부터 ‘매우 그렇다(5점)’까지 5점 Likert 척도로 측정하며, 평균 점수가 높을수록 간호단위관리자의 임파워링리더십이 높음을 의미한다. Arnold 등[
9]의 연구에서 신뢰도 Cronbach’s ⍺는 .97이었으며, Kim [
20]의 연구에서는 .98로 나타났다. 본 연구에서의 Cronbach’s α는 .98이었다.
3) 긍정심리자본
긍정심리자본은 Luthans와 Youssef [
13]가 개발한 ‘Psychological Capital Questionnaire’를 Lee와 Choi [
31]가 번역한 도구를 사용하였다. 본 도구는 총 24문항이며, 자기효능감(6문항), 복원력(6문항), 낙관주의(6문항), 희망(6문항)의 4개의 하위 요인으로 구성되어 있다. 도구의 3번, 8번, 19번 문항은 역문항으로 역코딩하였다. 각 문항은 ‘전혀 그렇지 않다’의 1점부터 ‘매우 그렇다’까지 6점 Likert 척도로 측정하며, 평균 점수가 높을수록 긍정심리자본이 높은 것을 의미한다. Luthans와 Youssef [
13]의 연구에서 Cronbach’s ⍺는 .89였으며, Lee와 Choi [
31]의 연구에서 .93이었다. 본 연구에서의 Cronbach’s ⍺는 .95였다.
4) 직무 열의
직무 열의는 Schaufeli 등[
32]이 개발한 UWES-9 (Dutch Utrecht Work Engagement Scale)을 Baik [
33]이 번안한 도구를 사용하였다. 본 도구는 총 9문항으로, 활력(3문항), 전념(3문항), 몰두(3문항)의 3개의 하위 영역으로 구성되어 있다. 각 문항은 ‘전혀 그렇지 않다(1점)’부터 ‘매우 그렇다 (7점)’까지의 7점 Likert 척도로 측정하며, 평균 점수가 높을수록 직무 열의가 높은 것을 의미한다. Schaufeli 등[
32]의 연구에서 신뢰도 Cronbach’s ⍺는 .92였으며, Baik [
33]의 연구에서는 .93이었다. 본 연구에서의 Cronbach’s ⍺는 .93이었다.
5) 환자안전간호활동
간호사의 환자안전간호활동을 평가하기 위해 2014년도 의료기관평가인증원에서 개발한 상급종합병원용과 종합병원용 병원인증평가 항목을 바탕으로 Han과 Jung [
27]이 수정•개발한 도구를 사용하였다. 본 도구는 간호사가 환자안전 관련 간호활동을 얼마나 잘 수행하고 있는지에 대한 수행 숙련도를 측정하는 도구이다. 총 32문항으로, 정확한 환자확인(4문항), 의사소통(4문항), 수술 또는 시술 전 환자안전(3문항), 낙상예방활동(6문항), 손위생 및 감염관리(5문항), 화재안전 및 응급상황관리(2문항), 투약(6문항), 시설 및 의료기기관리(2문항)의 총 8개의 하위 영역으로 구성되어 있다. 각 하위 영역은 다음과 같은 개념을 측정한다. 정확한 환자확인은 환자 신원 확인 절차의 정확성, 의사소통은 의료진 간 정보 전달의 명확성과 정확성, 수술/시술 전 환자안전은 수술 전 안전 점검 수행의 철저함, 낙상예방활동은 낙상 위험 평가 및 예방 중재의 적절성, 손위생 및 감염관리는 감염 예방 수칙 준수의 철저함, 화재안전 및 응급상황관리는 응급 상황 대응의 신속성과 적절성, 투약은 투약 과정에서의 안전 수칙 준수 정도, 시설 및 의료기기관리는 장비 점검 및 관리의 체계성을 의미한다. 각 문항은 ‘전혀 그렇지 않다(1점)’부터 ‘매우 그렇다(5점)’까지 5점 Likert 척도로 측정하며, 평균 점수가 높을수록 환자안전간호활동 수행 정도가 높음을 의미한다. Han과 Jung [
27]의 연구에서 도구의 Cronbach’s ⍺는 .95였으며, 본 연구에서는 .91이었다.
4. 자료 수집 및 윤리적 고려
본 연구는 연구 대상자의 윤리적 보호를 위해 소속대학의 연구윤리심의위원회의 승인(No. CBNU-2024-A-0003)을 받은 후 진행되었다. 자료 수집 기간은 2024년 7월 5일부터 7월 19일까지 2주간 실시하였다. 자료 수집을 위해 연구자가 먼저 해당 의료기관의 간호부에 직접 방문하여 책임자에게 연구의 방법과 목적을 설명하고, 승인을 받은 후 수행하였다. 설문지에 포함된 측정 도구는 원저자 및 국내 저자의 승인을 얻은 후 적용하였다. 연구자가 직접 각 간호단위를 방문하여 연구 대상자에게 연구 목적과 방법, 연구 대상자의 권리에 대해 ‘연구 대상자 설명서’를 사용하여 충분히 설명하였다. 연구 참여 동의서에는 연구의 목적과 대상자의 익명성, 비밀보장 및 연구 참여를 원하지 않을 경우, 설문지 작성을 거절하거나 설문지 작성 중이라도 언제든지 참여를 중단할 수 있음, 그리고 수집된 자료는 연구목적 외에는 사용하지 않을 것임을 명시하였다. 작성된 설문지는 밀봉된 봉투에 넣어, 연구자가 직접 회수하였으며, 응답한 자료는 모두 무기명으로 처리하였다. 수집된 설문지는 잠금장치가 설치된 캐비닛에 안전하게 보관하였다. 설문 소요 시간은 약 10~15분이었으며, 설문 응답에 대한 감사의 표시로 설문 응답자에게는 소정의 사례품을 제공하였다.
5. 자료 분석 방법
본 연구에서 수집된 자료는 IBM SPSS version 29.0 (IBM Corp.)을 이용하여 다음과 같이 분석하였다. 연구 대상자의 일반적 특성과 간호사가 인식한 간호단위관리자의 임파워링리더십, 간호사의 긍정심리자본, 직무 열의, 환자안전간호활동 정도는 기술통계로 분석하였다. 주요 변수에 대한 정규성 검정은 모수 통계기법 적용을 위한 전제 조건 확인을 위해 Kolmogorov-Smirnov 검정을 실시하였다.
연구 대상자의 일반적 특성에 따른 간호단위관리자의 임파워링리더십, 간호사의 긍정심리자본, 직무 열의, 환자안전간호활동의 차이는 independent t-test와 one-way analysis of variance를 사용하여 분석하였으며, 사후검정은 Duncan 검정을 적용하였다. 정규성을 만족하지 않는 경우 Mann-Whitney U-test와 Kruskal-Wallis 검정을 사용하였고, 사후분석은 Bonferroni Correction을 적용하였다. 간호단위관리자의 임파워링리더십, 간호사의 긍정심리자본, 직무 열의, 환자안전간호활동 간의 상관관계 분석을 위해 Pearson correlation coefficient의 전제 조건을 검토하였다. 주요 변수인 임파워링리더십, 환자안전간호활동, 긍정심리자본, 직무 열의의 정규성 검정 결과, 정규분포를 만족하였으며(p>.05), 산점도를 통해 선형성(linearity)을 확인하였다. 또한 극단치(outliers) 검토를 위해 표준화 잔차의 절댓값이 3.29를 초과하는 사례가 없음을 확인하였다. 이러한 전제 조건을 만족하여 Pearson correlation coefficient를 적용하였다.
간호단위관리자의 임파워링리더십과 간호사의 환자안전간호활동의 관계에서 간호사의 긍정심리자본, 직무 열의의 순차적 이중 매개효과는 Hayes [
22]의 PROCESS Macro (model 6)를 사용하여 분석하였다. 간접효과와 총간접효과의 유의성 검정을 위해 10,000회의 부트스트래핑(bootstrapping)을 적용하였으며, 95% 신뢰구간에서 ‘0’을 포함하지 않으면 간접효과가 유의한 것으로 해석하였다.
연구결과
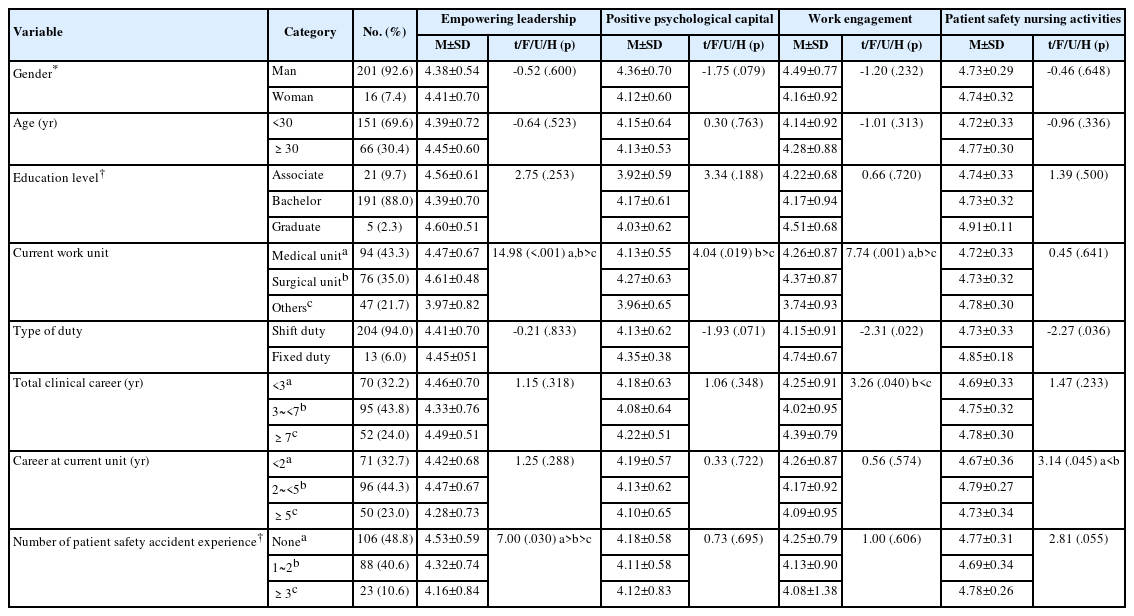
1. 연구 대상자의 일반적 특성과 임파워링리더십, 긍정심리자본, 직무 열의, 환자안전간호활동의 차이
연구 대상자의 성별은 여성이 92.6%로 대부분을 차지하였으며, 평균 연령은 29.2세로 30세 미만이 69.6%였다. 교육수준은 학사가 88.0%로 가장 많았고, 근무부서는 내과병동(43.3%), 외과병동(35.0%), 기타 병동(21.7%) 순으로 나타났다. 근무형태는 교대근무가 94%로 대부분을 차지하였다. 평균 임상경력은 5.74년이었으며, 현 부서 경력은 3.19년이었다. 6개월 이내에 환자안전사고를 경험한 간호사는 51.2%였으며, 환자안전사고를 경험한 횟수는 ‘1~2회’(40.6%), ‘3회 이상’(10.6%) 순이었다.
연구 대상자의 일반적 특성에 따른 임파워링리더십, 긍정심리자본, 직무 열의와 환자안전간호활동의 차이를 분석한 결과, 간호관리자의 임파워링리더십의 차이는 근무부서가 외과계 병동과 내과계 병동이 기타 병동보다 유의하게 높게 나타났다(F=14.98,
p<.001). 또한 6개월 이내 환자안전사고 경험이 ‘없는 경우’가 임파워링리더십을 가장 높게 인식했고, 환자안전사고 경험이 ‘1~2회’ 있는 경우가 ‘3회 이상’ 있는 경우보다 임파워링리더십을 높게 인식하여 세 그룹 간 유의한 차이를 보였다(H(2)=7.00,
p=.030). 긍정심리자본은 근무부서가 외과계 병동인 경우가 기타 병동보다 유의하게 높게 나타났다(F=4.04,
p=.019). 직무 열의는 근무부서에서 외과계 병동, 내과계 병동인 경우가 기타 병동보다 유의하게 높게 나타났으며(F=7.74,
p=.001), 근무형태가 상근근무인 경우가 교대근무보다 유의하게 높았다(t=-2.31,
p=.022). 또한 총 근무경력이 ‘7년 이상’인 경우가 ‘3년 이상~7년 미만’보다 유의하게 높았다(F=3.26,
p=.040). 환자안전간호활동은 근무형태가 상근근무가 교대근무보다 유의하게 높았으며(t=-2.27,
p=.036), 현 부서 경력이 ‘2년 이상~5년 미만’인 경우가 ‘6개월 이상~2년 미만’인 경우보다 유의하게 높았다(F=3.14,
p=.045) (
Table 1).
2. 임파워링리더십, 긍정심리자본, 직무 열의, 환자안전간호활동의 수준
간호사가 인식하는 간호단위관리자의 임파워링리더십 평균은 4.41±0.69점이었으며, 긍정심리자본 평균은 4.14±0.61점으로 나타났다. 직무 열의 평균은 4.18±0.91점이었으며, 환자안전간호활동의 평균은 4.74±0.32점이었다(
Table 2).
3. 임파워링리더십, 긍정심리자본, 직무 열의, 환자안전간호활동 간 상관관계
간호사가 인식하는 간호단위관리자의 임파워링리더십은 긍정심리자본(r=.21,
p=.002), 직무 열의(r=.18,
p=.010), 환자안전간호활동(r=.18,
p=.008)과 유의한 약한 정도의 양의 상관관계를 보였다. 긍정심리자본은 직무 열의와 중간 정도의 유의한 양의 상관관계(r=.68,
p<.001)를 보였으며, 환자안전간호활동과는 약한 정도의 유의한 양의 상관관계(r=.23,
p=.001)를 보였다. 직무 열의는 환자안전간호활동과 약한 정도의 유의한 양의 상관관계(r=.28,
p<.001)를 보였다(
Table 3).
4. 간호단위관리자의 임파워링리더십이 환자안전간호활동에 미치는 영향에서 긍정심리자본과 직무 열의의 매개효과
긍정심리자본과 직무 열의의 순차적 매개효과 분석에 앞서, 다중공선성 문제를 검토한 결과 공차한계는 .97로 0.1 이상이었고, 분산팽창요인(variance inflation factor) 값은 1.03으로 10 미만이었다. 또한 Durbin-Watson 지수는 1.85로 기준값(1.8<d<2.2)의 범위 내로 잔차의 자기상관이 없는 것으로 확인되어 기본 가정을 충족하였다. 간호단위관리자의 임파워링리더십, 긍정심리자본, 직무 열의, 환자안전간호활동에 유의한 영향을 미치는 것으로 나타난 연령, 근무부서, 근무형태, 총 근무경력, 현 부서 경력과 환자안전사고 경험 횟수는 통제 변인으로 보정한 후 분석을 진행하였다.
변수들 간의 직접효과를 분석한 결과, 1단계에서 간호단위관리자의 임파워링리더십은 매개변인인 긍정심리자본에 유의한 양의 영향을 미치는 것으로 나타났다(β=.21, p=.003). 2단계에서 간호단위관리자의 임파워링리더십은 직무 열의에 유의한 영향을 미치지 않았으나(β=-.00, p=.953), 긍정심리자본은 직무 열의에 유의한 양의 영향을 미치는 것으로 나타났다(β=.67, p<.001). 3단계에서 간호단위관리자의 임파워링리더십이 환자안전간호활동에 유의한 양의 영향을 미치는 것으로 나타났다(β=.17, p=.014). 긍정심리자본은 환자안전간호활동에 유의한 영향을 미치지 않았으나(β=.05, p=.587), 직무 열의는 환자안전간호활동에 유의한 양의 영향을 미치는 것으로 나타났다(β=.24, p=.008).
간호단위관리자의 임파워링리더십과 환자안전간호활동의 관계에서 긍정심리자본과 직무 열의의 매개효과인 간접효과의 유의성을 검정한 결과, 총 간접효과는 effect=.04로 통계적으로 유의하지 않았다(95% CI, -.00~.10). 긍정심리자본의 단일 간접효과(indirect 1)는 통계적으로 유의하지 않았으며(effect=.01; 95% CI, -.02~.06), 직무 열의의 단일 간접효과(indirect 2) 또한 통계적으로 유의하지 않았다(effect=-.00; 95% CI, -.03~.02). 그러나 긍정심리자본과 직무 열의의 순차적 이중 매개효과(indirect 3)는 통계적으로 유의하였다(effect=.03; 95% CI, .01~.08). 최종적으로 간호단위관리자의 임파워링리더십과 간호사의 환자안전간호활동의 관계에서 직접효과는 통계적으로 유의한 것으로 나타났으며(β=.17,
p=.014), 총효과 또한 통계적으로 유의하였다(effect=.21, t=3.08,
p=.002) (
Table 4,
Figure 1).
논의
본 연구는 간호단위관리자의 임파워링리더십이 환자안전간호활동에 미치는 영향에서 긍정심리자본과 직무 열의의 순차적 이중 매개효과를 탐색하였다. 연구 결과, 간호단위관리자의 임파워링리더십은 환자안전간호활동에 직접적으로 유의한 관련성을 보이며, 긍정심리자본과 직무 열의를 순차적으로 거쳐 간접적으로도 연관되는 것으로 확인되었다.
이는 간호단위관리자의 임파워링리더십과 환자안전간호활동 간의 관련성을 시사하는 결과로, 선행 연구에서도 간호사가 간호단위관리자로부터 환자안전 개선을 지지받는다고 인식할 때 더 많은 환자안전간호활동을 수행하는 것으로 보고된 바 있다[
34]. 따라서 간호사의 환자안전간호활동 향상을 위해서는 간호단위관리자의 임파워링리더십에 대한 고려가 필요할 것으로 생각한다.
본 연구에서 간호단위관리자의 임파워링리더십은 긍정심리자본과 유의한 상관관계 및 직접효과를 보였다. 임파워링리더십의 하위 영역인 솔선수범, 참여적 의사결정, 코칭, 정보공유, 관심표출이 모두 긍정심리자본과 양의 상관관계를 나타낸 것은 관리자의 지지적 리더십 행동이 간호사의 심리적 자원 향상과 연관됨을 시사한다[
35]. 본 연구에서 간호단위관리자의 임파워링리더십과 직무 열의 사이에는 유의한 양의 상관관계를 보였으나, 공변량을 통제한 후 직접효과는 유의하지 않았다. 이는 간호사를 대상으로 한 Han [
19]의 연구에서 매개변수를 통한 간접효과가 주요 경로였던 점과 유사하다. 반면, 다른 직종을 대상으로 한 연구들[
36]에서는 임파워링리더십이 직무 열의에 미치는 직접효과가 확인되어 본 연구와 차이를 보였다.
본 연구에서 간호단위관리자의 임파워링리더십 평균은 4.41점으로, 국내 간호사 대상의 선행 연구 결과[
19]인 3.76점과 비교할 때 상대적으로 높은 수준이었다. 그러나 이와 같이 비교적 높은 임파워링리더십 수준에도 불구하고 직무 열의에 대한 직접효과가 유의하지 않은 것으로 나타났다. 이러한 결과는 임파워링리더십의 절대적 수준보다는 현재의 간호환경적 맥락이 더 중요한 요인으로 작용했을 가능성을 시사한다. 특히 연구가 수행된 시기는 정부의 의과대학 정원확대 정책 이후 발생한 전공의들의 집단사직 사태로 인해 상급종합병원의 의료시스템에 상당한 혼란이 있었던 때이다. 이러한 환경적 요인들(의료보고체계 변화, 업무기준 혼선, 부서이동, 업무과중 등)이 간호사들의 직무 열의와 관련되었을 가능성이 있다.
긍정심리자본은 직무 열의와 강한 상관관계를 보이며 직접적인 연관성을 보이는 것으로 확인되었다. 이는 간호사의 자기효능감, 희망, 낙관주의, 복원력이 활력, 전념, 몰두와 같은 직무 열의 구성요소와 밀접하게 연관된다는 선행 연구들과 일치한다[
18,
37]. 긍정심리자본의 직원성과에 대한 메타분석 연구에서도 긍정심리자본이 업무수행의 결정요인이자 동기부여 및 업무달성을 위한 노력을 증진시키는 핵심 요인임이 확인되었다[
38].
본 연구에서 긍정심리자본은 환자안전간호활동과 직접적인 관련성을 보이지 않는 것으로 나타났다. 이는 긍정심리자본이 간호사의 업무성과나 조직성과에 긍정적 영향을 미친다는 선행 연구[
39,
40] 결과와는 다른 양상이다. 일반적으로 긍정심리자본의 하위 요인인 자기효능감, 희망, 낙관주의, 복원력은 간호업무 수행과 밀접한 관련이 있다고 보고되었으나, 본 연구에서는 환자안전간호활동이라는 특정 영역에서는 직접적 효과가 확인되지 않았다. 이러한 결과는 환자안전간호활동이 개인의 심리적 자원보다는 체계적이고 절차적인 업무수행이 더 중요할 수 있음을 시사한다. 환자안전활동은 표준화된 프로토콜과 지침을 준수하는 것이 핵심이므로, 개인의 긍정적 심리상태가 직접적으로 영향을 미치기보다는 이러한 심리적 자원이 업무에 대한 열의를 통해 간접적으로 작용할 가능성이 있다.
본 연구에서 직무 열의는 환자안전간호활동에 유의한 양적 관련성을 보였다(r=.28). 이러한 결과는 의료인의 직무 열의가 환자안전과 의료서비스 질과 긍정적 관련성을 보인다는 기존 메타분석 결과들과 일치하는 양상을 보인다. Wee와 Lai [
41]는 의료인의 직무 열의와 환자 치료의 질 간의 효과 크기(.26)를 보고했으며, Janes 등[
42]은 의료진의 직무 열의와 환자안전 간의 효과 크기(.22)를 확인했다. 본 연구의 상관계수는 이들 선행 메타분석 결과들과 비슷한 범위에 있어, 직무 열의와 환자안전 관련 활동 간의 관계가 다양한 의료환경에서도 일관된 경향을 보임을 의미한다.
본 연구에서 간호단위관리자의 임파워링리더십과 환자안전간호활동 간의 관계에서 긍정심리자본과 직무 열의의 순차적 이중 매개효과가 통계적으로 유의한 것으로 확인되었다. 주목할 점은 임파워링리더십과 직무 열의 간의 직접적 관련성은 유의하지 않았으나, 긍정심리자본을 경유한 간접경로를 통해 직무 열의에 유의한 영향을 미치는 것으로 나타났다. 이는 임파워링리더십과 직무 열의 간의 관계에서 긍정심리자본의 완전매개역할을 시사한다. 한편, 매개변수들을 통제한 후에도 임파워링리더십은 환자안전간호활동에 직접적인 영향을 미치는 것으로 나타나, 전체 모델에서는 긍정심리자본과 직무 열의가 부분매개역할을 하는 것으로 확인되었다.
또한 긍정심리자본과 환자안전간호활동 간의 직접적 관련성은 유의하지 않았으나, 직무 열의를 통한 간접적 영향을 미치는 것으로 나타났다. 이는 긍정심리자본→직무 열의→환자안전간호활동으로 이어지는 순차적 매개과정의 중요성을 보여준다. 실제로 각 변수의 단일 간접효과는 통계적으로 유의하지 않았으나, 긍정심리자본과 직무 열의의 이중 매개효과만이 통계적으로 유의하였다(effect=.03; 95% CI, .01~.08). 본 연구에서 확인된 임파워링리더십→긍정심리자본→직무 열의→환자안전간호활동의 순차적 이중 매개효과는 기존 선행 연구들과 부분적으로 일치한다. 관리자의 임파워링리더십과 조직 구성원의 긍정심리자본 간의 관련성[
35], 긍정심리자본과 직무 열의 간의 관련성[
14,
18], 그리고 직무 열의와 환자안전 간의 관련성[
41]을 보고한 선행 연구들이 이러한 순차적 경로의 가능성을 뒷받침한다.
그러나 본 연구에서 확인된 총 간접효과는 β=.04로 효과 크기가 작았으며, 통계적으로 유의하지 않았다. 이는 변수들 간의 관계가 복합적이며, 본 연구에서 측정하지 않은 조직의 시스템, 정책, 인력 등 구조적 요인이 환자안전간호활동에 더 큰 영향을 미칠 가능성을 시사한다. 특히 환자안전이라는 특수한 업무 영역에서는 개인의 심리적 자원과 동기적 상태보다는 표준화된 프로토콜, 안전시스템, 조직문화 등이 더 중요한 역할을 할 수 있다. 따라서 이중 매개효과가 통계적으로 유의했다는 것은 임파워링리더십을 통한 순차적 경로가 존재할 가능성을 보여주지만, 그 실질적 효과는 매우 제한적임을 주지해야 한다. 환자안전 향상을 위한 실무적 개입에서는 이러한 간접적 경로보다는 더 직접적이고 구조적인 접근이 필요할 것으로 판단된다.
본 연구는 임파워링리더십과 환자안전간호활동 간의 관계에서 긍정심리자본과 직무 열의의 순차적 이중 매개효과를 통합적 모형으로 검증했다는 점에서 의의가 있다. 기존 연구들이 주로 개별 변수 간의 관계나 단순매개효과를 다룬 반면, 본 연구는 복합적인 순차적 경로를 통한 매개 메커니즘을 실증적으로 탐색했다. 또한 상급종합병원의 특수한 상황에서 수집된 자료를 바탕으로 현실적인 맥락에서의 변수 간 관계를 탐색함으로써 서구나 다른 직종에서 검증된 이론이 한국의 상급종합병원 간호사에게는 다르게 작동할 수 있음을 제시했다.
결론
본 연구는 간호단위관리자의 임파워링리더십이 환자안전간호활동 간의 관계에서 긍정심리자본과 직무 열의의 이중 매개효과를 확인하였다. 그러나 총 간접효과가 4.4%에 불과하여 실질적 영향력은 매우 제한적이었다. 임파워링리더십의 직접효과는 유의하였으나, 복합적 매개경로를 통한 추가적 효과는 미미하였다. 이는 환자안전이라는 특수한 영역에서는 개인의 심리적 자원과 동기보다는 체계적이고 구조적인 접근이 더 중요함을 시사한다.
본 연구는 일개 상급종합병원에서 수집된 자료로 연구결과의 일반화에 한계가 있으며, 환자안전간호활동에 영향을 미칠 수 있는 조직문화, 환자 중증도, 병동 특성 등의 다양한 요인들이 충분히 고려되지 못하였다. 또한 본 연구는 횡단적 설계로 한 시점에서 자료를 수집하여 매개효과를 확인하였으므로, 변수들 간의 시간적 선후관계와 인과관계를 명확히 규명하는 데 제한이 있다.
본 연구결과를 바탕으로 다음과 같이 제언한다. 첫째, 임파워링리더십과 환자안전 간의 관계에서 더 강력한 매개변수나 조절변수를 탐색하여, 리더십이 환자안전에 미치는 실질적 영향력을 높일 수 있는 조건들을 규명하는 연구가 필요하다. 둘째, 본 연구에서 확인된 매개효과의 실질적 크기가 제한적이므로, 환자안전간호활동에 더 큰 영향을 미치는 요인들을 규명하고 이들 간의 상호작용 효과를 탐색하는 연구가 필요하다. 셋째, 변수들 간의 인과관계를 명확히 규명하기 위해 종단적 연구 설계를 통한 후속 연구가 필요하다.
Article Information
-
Author contributions
Conceptualization: JYP, EK. Methodology: JYP, EK. Formal analysis: JYP. Data curation: JYP. Visualization: JYP. Writing – original draft: JYP, EK. Writing - review & editing: JYP, EK. All authors read and agreed to the published version of the manuscript.
-
Conflict of interest
None.
-
Funding
None.
-
Data availability
Please contact the corresponding author for data availability.
-
Acknowledgments
None.
Figure 1.Serial multiple mediation model of the effects of empowering leadership on patient safety nursing activities through psychological capital and work engagement.
Table 1.Differences in Empowering Leadership, Positive Psychological Capital, Work Engagement, and Patient Safety Nursing Activities According to Characteristics (N=217)
|
Variable |
Category |
No. (%) |
Empowering leadership |
Positive psychological capital |
Work engagement |
Patient safety nursing activities |
|
M±SD |
t/F/U/H (p) |
M±SD |
t/F/U/H (p) |
M±SD |
t/F/U/H (p) |
M±SD |
t/F/U/H (p) |
|
Gender*
|
Man |
201 (92.6) |
4.38±0.54 |
-0.52 (.600) |
4.36±0.70 |
-1.75 (.079) |
4.49±0.77 |
-1.20 (.232) |
4.73±0.29 |
-0.46 (.648) |
|
Woman |
16 (7.4) |
4.41±0.70 |
4.12±0.60 |
4.16±0.92 |
4.74±0.32 |
|
Age (yr) |
<30 |
151 (69.6) |
4.39±0.72 |
-0.64 (.523) |
4.15±0.64 |
0.30 (.763) |
4.14±0.92 |
-1.01 (.313) |
4.72±0.33 |
-0.96 (.336) |
|
≥30 |
66 (30.4) |
4.45±0.60 |
4.13±0.53 |
4.28±0.88 |
4.77±0.30 |
|
Education level†
|
Associate |
21 (9.7) |
4.56±0.61 |
2.75 (.253) |
3.92±0.59 |
3.34 (.188) |
4.22±0.68 |
0.66 (.720) |
4.74±0.33 |
1.39 (.500) |
|
Bachelor |
191 (88.0) |
4.39±0.70 |
4.17±0.61 |
4.17±0.94 |
4.73±0.32 |
|
Graduate |
5 (2.3) |
4.60±0.51 |
4.03±0.62 |
4.51±0.68 |
4.91±0.11 |
|
Current work unit |
Medical unita
|
94 (43.3) |
4.47±0.67 |
14.98 (<.001) a,b>c |
4.13±0.55 |
4.04 (.019) b>c |
4.26±0.87 |
7.74 (.001) a,b>c |
4.72±0.33 |
0.45 (.641) |
|
Surgical unitb
|
76 (35.0) |
4.61±0.48 |
4.27±0.63 |
4.37±0.87 |
4.73±0.32 |
|
Othersc
|
47 (21.7) |
3.97±0.82 |
3.96±0.65 |
3.74±0.93 |
4.78±0.30 |
|
Type of duty |
Shift duty |
204 (94.0) |
4.41±0.70 |
-0.21 (.833) |
4.13±0.62 |
-1.93 (.071) |
4.15±0.91 |
-2.31 (.022) |
4.73±0.33 |
-2.27 (.036) |
|
Fixed duty |
13 (6.0) |
4.45±051 |
4.35±0.38 |
4.74±0.67 |
4.85±0.18 |
|
Total clinical career (yr) |
<3a
|
70 (32.2) |
4.46±0.70 |
1.15 (.318) |
4.18±0.63 |
1.06 (.348) |
4.25±0.91 |
3.26 (.040) b<c |
4.69±0.33 |
1.47 (.233) |
|
3~<7b
|
95 (43.8) |
4.33±0.76 |
4.08±0.64 |
4.02±0.95 |
4.75±0.32 |
|
≥7c
|
52 (24.0) |
4.49±0.51 |
4.22±0.51 |
4.39±0.79 |
4.78±0.30 |
|
Career at current unit (yr) |
<2a
|
71 (32.7) |
4.42±0.68 |
1.25 (.288) |
4.19±0.57 |
0.33 (.722) |
4.26±0.87 |
0.56 (.574) |
4.67±0.36 |
3.14 (.045) a<b |
|
2~<5b
|
96 (44.3) |
4.47±0.67 |
4.13±0.62 |
4.17±0.92 |
4.79±0.27 |
|
≥5c
|
50 (23.0) |
4.28±0.73 |
4.10±0.65 |
4.09±0.95 |
4.73±0.34 |
|
Number of patient safety accident experience†
|
Nonea
|
106 (48.8) |
4.53±0.59 |
7.00 (.030) a>b>c |
4.18±0.58 |
0.73 (.695) |
4.25±0.79 |
1.00 (.606) |
4.77±0.31 |
2.81 (.055) |
|
1~2b
|
88 (40.6) |
4.32±0.74 |
4.11±0.58 |
4.13±0.90 |
4.69±0.34 |
|
≥3c
|
23 (10.6) |
4.16±0.84 |
4.12±0.83 |
4.08±1.38 |
4.78±0.26 |
Table 2.Levels of Empowering Leadership, Positive Psychological Capital, Work Engagement, Patient Safety Nursing Activities (N=217)
|
Variable |
M±SD |
Min~Max |
Scale range |
|
Empowering leadership |
4.41±0.69 |
1.65~5.00 |
1 ~ 5 |
|
Leading by example |
4.51±0.71 |
1.75~5.00 |
|
Participative decision making |
4.40±0.73 |
1.00~5.00 |
|
Coaching |
4.42±0.71 |
1.36~5.00 |
|
Information |
4.33±0.80 |
1.00~5.00 |
|
Showing concerning |
4.40±0.69 |
2.00~5.00 |
|
Positive psychological capital |
4.14±0.61 |
2.17~5.63 |
1 ~ 6 |
|
Self-efficacy |
3.93±0.73 |
1.50~5.67 |
|
Hope |
4.23±0.68 |
1.67~5.83 |
|
Optimism |
4.20±0.67 |
1.50~6.00 |
|
Resilience |
4.22±0.67 |
2.00~5.50 |
|
Work engagement |
4.18±0.91 |
1.00~6.33 |
1 ~ 7 |
|
Vigor |
3.57±1.08 |
1.00~6.00 |
|
Dedication |
4.35±1.08 |
1.00~7.00 |
|
Absorption |
4.62±0.94 |
1.00~7.00 |
|
Patient safety nursing activities |
4.74±0.32 |
3.78~5.00 |
1 ~ 5 |
|
Accuracy of patient identification |
4.72±0.46 |
3.00~5.00 |
|
Communication |
4.63±0.47 |
3.00~5.00 |
|
Operation/procedure prior patient safety |
4.81±0.37 |
3.33~5.00 |
|
Fall prevention |
4.78±0.36 |
3.50~5.00 |
|
Hand hygiene and infection prevention |
4.76±0.41 |
3.00~5.00 |
|
Fire safety and emergency management |
4.55±0.58 |
3.00~5.00 |
|
Medication |
4.82±0.31 |
3.50~5.00 |
|
Medical equipment and facilities management |
4.65±0.56 |
2.50~5.00 |
Table 3.Correlations among Empowering Leadership, Positive Psychological Capital, Work Engagement, Patient Safety Nursing Activities (N=217)
|
Variable |
Empowering leadership |
Positive psychological capital |
Work engagement |
Patient safety nursing activities |
|
r (p) |
|
Empowering leadership |
1 |
|
|
|
|
Positive psychological capital |
.21 (.002) |
1 |
|
|
|
Work engagement |
.18 (.010) |
.68 (<.001) |
1 |
|
|
Patient safety nursing activities |
.18 (.008) |
.23 (.001) |
.28 (<.001) |
1 |
Table 4.Path Coefficients and Serial Multiple Mediation Effects (N=217)
|
B |
SE |
β |
t |
p
|
95% CI |
F (p) |
R²(%) |
|
LLCI |
ULCI |
|
Direct effect |
|
|
|
|
|
|
|
|
|
|
|
Step 1 |
EL → PPC |
.19 |
0.06 |
.21 |
3.05 |
.003 |
0.07 |
0.31 |
2.82 (.005) |
9.8 |
|
Step 2 |
EL → WE |
-.00 |
0.07 |
-.00 |
-0.06 |
.953 |
-0.14 |
0.13 |
22.24 (<.001) |
49.2 |
|
PPC → WE |
.99 |
0.08 |
.67 |
12.79 |
<.001 |
0.84 |
1.15 |
|
Step 3 |
EL → PSNA |
.08 |
0.03 |
.17 |
2.48 |
.014 |
0 .07 |
0.14 |
3.68 (<.001) |
15.1 |
|
PPC → PSNA |
.03 |
0.05 |
.05 |
0.54 |
.587 |
-0.07 |
0.12 |
|
WE → PSNA |
.09 |
0.03 |
.24 |
2.69 |
.008 |
0.02 |
0.15 |
|
Indirect effect |
|
Effect (β) |
Boot SE |
LLCI |
ULCI |
|
|
Total indirect effect |
|
.04 |
0.03 |
-0.00 |
0.10 |
|
|
Indirect 1: EL → PPC → PSNA |
|
.01 |
0.02 |
-0.02 |
0.06 |
|
|
Indirect 2: EL → WE → PSNA |
|
-.00 |
0.01 |
-0.03 |
0.02 |
|
|
Indirect 3: EL → PPC → WE → PSNA |
|
.03 |
0.02 |
0.01 |
.08 |
|
|
Total effect |
B |
SE |
β |
t |
p
|
LLCI |
ULCI |
F (p) |
R²(%) |
|
EL → PSNA |
.10 |
0.03 |
.21 |
3.08 |
.002 |
0.04 |
0.16 |
2.30 (.022) |
8.1 |
REFERENCES
- 1. Moon S, Lee J. Correlates of patient safety performance among nurses from hospitals with less than 200 beds. Korean Journal of Adult Nursing. 2017;29(4):393-405. https://doi.org/10.7475/kjan.2017.29.4.393
- 2. Korea Institute for Healthcare Accreditation. 2023 Patient safety statistical yearbook [Internet]. Seoul; KOPS Patient Safety Reporting and Learning System; 2024 [cited 2025 Nov 15]. Available from: https://www.kops.or.kr/portal/board/statAnlrpt/boardDetail.do
- 3. Lee SI. Healthcare accreditation in Korea: the current status and challenges ahead. Health Policy and Management. 2018;28(3):251-256. https://doi.org/10.4332/KJHPA.2018.28.3.251
- 4. Korean Law Information Center. Patient Safety Act [Enforcement Date 2016 Jul 29], Act No. 13113, 2015 Jan 28 New Enactment [Internet]. Sejong: Korea Ministry of Government Legislation; 2015 [cited 2025 Nov 15]. Available from: https://www.law.go.kr/%EB%B2%95%EB%A0%B9/%ED%99%98%EC%9E%90%EC%95%88%EC%A0%84%EB%B2%95/(13113,20150128)
- 5. Cheon G, Kim J. The relationships among awareness of patient safety culture, critical thinking disposition and patient safety nursing activities of nurses among comprehensive nursing care service ward. Journal of the Korea Academia-Industrial Cooperation Society. 2018;19(6):345-354. https://doi.org/10.5762/KAIS.2018.19.6.345
- 6. Lim KC, Park M, Shin G. Influences of sense of ethics and attitude toward patient safety in the confidence in patient safety in nursing students. Journal of Muscle and Joint Health. 2017;24(2):140-149. https://doi.org/10.5953/JMJH.2017.24.2.140
- 7. Kim MJ, Kim JK. A study on the relationships among perception about patient safety culture, patient safety competence, and safety nursing activities of emergency room nurses. The Journal of the Korea Contents Association. 2017;17(10):268-279. https://doi.org/10.5392/JKCA.2017.17.10.268
- 8. Kim KH, Kim EK. Effects of the empowering leadership by nurse managers on organizational citizenship behavior of nurses: mediating effects of followership. Journal of Korean Academy of Nursing Administration. 2019;25(2):115-124. http://doi.org/10.11111/jkana.2019.25.2.115
- 9. Arnold JA, Arad S, Rhoades JA, Drasgow F. The empowering leadership questionnaire: the construction and validation of a new scale for measuring leader behaviors. Journal of Organizational Behavior. 2000;21(3):249-269.
- 10. Zhang S, Liu Y, Li G, Zhang Z, Fa T. Chinese nurses' innovation capacity: the influence of inclusive leadership, empowering leadership and psychological empowerment. Journal of Nursing Management. 2022;30(6):1990-1999. https://doi.org/10.1111/jonm.13654
- 11. Song JO. Empowerment of health care workers impact on patient safety activities. [dissertation]. Daejeon: Eulji University; 2023. p. 1-140.
- 12. Gottlieb LN, Gottlieb B, Bitzas V. Creating empowering conditions for nurses with workplace autonomy and agency: how healthcare leaders could be guided by strengths-based nursing and healthcare leadership (SBNH-L). Journal of Healthcare Leadership. 2021;13:169-181. https://doi.org/10.2147/JHL.S221141
- 13. Luthans F, Youssef CM. Human, social, and now positive psychological capital management: investing in people for competitive advantage. Organizational Dynamics. 2004;33(2):143-160. https://doi.org/10.1016/j.orgdyn.2004.01.003
- 14. Kim D, Lee GS, Jeung W. The effects of empowring leadership on job attitudes of organizational members: the mediating effects of psychological capital. The Korean Leadership Review. 2016;2:33-60.
- 15. Oh EW, Ko Y. Effects of positive psychological capital and role conflict of hospital nurses on patient safety competencies. Korea Journal of Hospital Management. 2024;29(1):32-45.
- 16. Kang JM, Kwon JO. A convergence effect of positive psychological capital and psychological well-being on work engagement of medium and small hospitals nurses. Journal of the Korea Convergence Society. 2017;8(4):89-99. https://doi.org/10.15207/JKCS.2017.8.4.089
- 17. Schaufeli WB, Salanova M, González-Romá V, Bakker AB. The measurement of engagement and burnout: A two sample confirmatory factor analytic approach. Journal of Happiness Studies. 2002;3(1):71-92. https://doi.org/10.1023/A:1015630930326
- 18. Kim JW, Cho HY. The effect of positive psychological capital on work engagement: mediating role of decision-making collaboration. Journal of Creativity and Innovation. 2020;13(2):33-62. https://doi.org/10.22834/pds.2020.13.2.33
- 19. Han SJ. Effect of empowering leadership on work engagement and the mediating effect of job crafting among clinical nurses. Journal of Korean Academy of Nursing Administration. 2023;29(1):22-31. https://doi.org/10.11111/jkana.2023.29.1.22
- 20. Kim H. Effects of job crafting on the quality of nursing services among clinical nurses: The mediating effect of work engagement. Journal of Korean Academy of Nursing Administration. 2021;27(5):423-432. https://doi.org/10.11111/jkana.2021.27.5.423
- 21. Shin HK, Choi HR. The influences of hospital nurses' grit and positive psychological capital on job engagement. Journal of Digital Convergence. 2022;20(3):497-505. https://doi.org/10.14400/JDC.2022.20.3.497
- 22. Hayes AF. Introduction to mediation, moderation, and conditional process analysis: a regression-based approach. 2nd ed. New York, NY: Guilford Press; 2018.
- 23. Fredrickson BL. The role of positive emotions in positive psychology: the broaden-and-build theory of positive emotions. American Psychologist. 2001;56(3):218-226. https://doi.org/10.1037/0003-066X.56.3.218
- 24. Sweetman D, Luthans F. The power of positive psychology: psychological capital and work engagement. In Bakker AB, Leiter MP, editors. Work engagement: a handbook of essential theory and research. New York, NY: Psychology Press; 2010. p. 54-68.
- 25. Park S, Ha Y. The relationship between positive psychological capital and work engagement in clinical nurses: mediation effect of job crafting. BMC Nursing. 2025;24(1):117. https://doi.org/10.1186/s12912-024-02600-w
- 26. Shin HK, Choi HR. The influences of hospital nurses’ grit and positive psychological capital on job engagement. Journal of Digital Convergence. 2023;13:990216. https://doi.org/10.14400/JDC.2022.20.3.497
- 27. Han MY, Jung MS. Effect of hospital nurses' perceptions of organizational health and patient safety culture on patient safety nursing activities. Journal of Korean Academy of Nursing Administration. 2017;23(2):127-138. https://doi.org/10.11111/jkana.2017.23.2.127
- 28. Cohen J. Statistical power analysis for the behavioral sciences. 2nd ed. Hillsdale, NJ: Lawrence Erlbaum Associates; 1988.
- 29. Fritz MS, MacKinnon DP. Required sample size to detect the mediated effect. Psychological Science. 2007;18(3):233-239. https://doi.org/10.1111/j.1467-9280.2007.01882.x
- 30. Kim E, Kim SY, Jung MS, Kim JK, You SJ. Validity and reliability of the Korean version of empowering leadership questionnaire. Korean Journal of Health Promotion. 2017;17(4):275-281. http://doi.org/10.15384/kjhp.2017.17.4.275
- 31. Lee D, Choi Y. A study on antecedents and consequences of positive psychological capital in organizations. Korean Management Review. 2010;39(1):1-28.
- 32. Schaufeli WB, Bakker AB, Salanova M. The measurement of work engagement with a short questionnaire: a cross-national study. Educational and Psychological Measurement. 2006;66(4):701-716. https://doi.org/10.1177/0013164405282471
- 33. Baik SJ. The structural relationship among job crafting, work engagement and change-oriented behavior [dissertation]. Seoul: Chung-Ang University; 2016.
- 34. Lee SE, Quinn BL. Safety culture and patient safety outcomes in East Asia: a literature review. Western Journal of Nursing Research. 2020;42(3):220-230. https://doi.org/10.1177/0193945919848755
- 35. Kim DY, Lee GS, Jeung WH. The effects of empowering leadership on job attitudes of organizational members: the mediating effects of psychological capital. Journal of the Korean Leadership Society. 2016;7(2):33-60.
- 36. Liu S, Han X, Du L, Zhu H, Shi R, Lan J. How does empowering leadership relate to work engagement? The roles of organisational identification and workplace well-being. Psychological Reports. 2024;1-26.
- 37. Zhang M, Chen H, Wang N, Li Y, Li X, Liu Y. The mediating role of job satisfaction between psychological capital and work engagement among Chinese nurses during COVID-19 outbreak: a comparative study between nurse specialists and general nurses. Frontiers in Psychiatry. 2023;13:990216. https://doi.org/10.3389/fpsyt.2022.990216
- 38. Jeong H, Baek Y. Meta-analysis of the impact of positive psychological capital on employees outcomes: the moderating role of tenure. International Scholarly and Scientific Research and Innovation. 2017;11(7):1749-1753. https://doi.org/10.5281/zenodo.1131269
- 39. Lee EA, Ha Y. Effects of positive psychological capital, job crafting and job satisfaction on intention of retention in hospital nurses. Journal of Korean Academy of Nursing Administration. 2022;28(5):586-595. https://doi.org/10.11111/jkana.2022.28.5.586
- 40. Lee SN, Kim JA. Prediction model for nursing work outcome of nurses-focused on positive psychological capital. Journal of Korean Academy of Nursing. 2020;50(1):1-13. https://doi.org/10.4040/jkan.2020.50.1.1
- 41. Wee KZ, Lai AY. Work engagement and patient quality of care: a meta-analysis and systematic review. Medical Care Research and Review. 2021;79(3):345-358. https://doi.org/10.1177/10775587211030388
- 42. Janes G, Mills T, Budworth L, Johnson J, Lawton R. The association between health care staff engagement and patient safety outcomes: a systematic review and meta-analysis. Journal of Patient Safety. 2021;17(3):207-216. https://doi.org/10.1097/PTS.0000000000000807
Figure & Data
Citations
Citations to this article as recorded by
